精英家教网 > 高中数学 > 题目详情
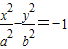
若双曲线的离心率为,则两条渐近线的方程为   
【答案】分析:通过离心率,推出a,b的关系,即可求出两条渐近线的方程.
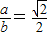
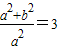
解答:解:双曲线的离心率为
所以,又c2=a2+b2
所以
所以
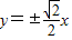
的两条渐近线的方程为
故答案为:
点评:本题考查双曲线的渐近线方程的求法,注意双曲线的形式,考查计算能力.
练习册系列答案
相关习题

科目:高中数学 来源: 题型:

精英家教网如图,双曲线的中心在坐标原点O,A,C分别是双曲线虚轴的上、下顶点,B是双曲线的左顶点,F为双曲线的左焦点,直线AB与FC相交于点D.若双曲线的离心率为2,则∠BDF的余弦值是(  )
A、
7
7
B、
5
7
7
C、
7
14
D、
5
7
14

查看答案和解析>>

科目:高中数学 来源: 题型:

若双曲线的离心率为2,两焦点坐标为(-2,0),(2,0),则此双曲线的方程为
 

查看答案和解析>>

科目:高中数学 来源: 题型:

(2013•天津)已知双曲线
x2
a2
-
y2
b2
=1(a>0,b>0)
的两条渐近线与抛物线y2=2px(p>0)的准线分别交于A,B两点,O为坐标原点.若双曲线的离心率为2,△AOB的面积为
3
,则p=(  )

查看答案和解析>>

科目:高中数学 来源: 题型:

(2012•黄州区模拟)已知双曲线的顶点与焦点分别是椭圆
x2
a2
+
y2
b2
=1(a>b>0)
的焦点与顶点,若双曲线的离心率为2,则椭圆离心率为(  )

查看答案和解析>>

科目:高中数学 来源: 题型:

已知双曲线
x2
a2
-
y2
b2
=1
(a>0,b>0)的两条渐近线与抛物线y2=2px(p>0)的准线分别交于A,B两点,O为坐标原点.若双曲线的离心率为2,△AOB的面积为
3
,则p=
 

查看答案和解析>>

同步练习册答案