精英家教网 > 高中数学 > 题目详情
双曲线的两个焦点为F1,F2,点P在双曲线上,若PF1⊥PF2,求点P的坐标.
【答案】分析:根据PF1⊥PF2,可得点P在以F1F2为直径的圆上,所以将以F1F2为直径的圆方程与已知双曲线方程联解,得到方程组的解,即为点P的坐标,由此不难得到本题的答案.
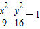
解答:解:∵双曲线的方程为
∴a2=9,b2=1,得c==5,得焦点为F1(-5,0),F2(5,0),
∵PF1⊥PF2
∴点P在以F1F2为直径的圆上,得此圆方程为x2+y2=25
解得
∴点P的坐标为(,±)或(-,±
点评:本题给出双曲线上点P对两个焦点的张角为直角,求点P的坐标,着重考查了双曲线的标准方程和简单几何性质等知识点,属于基础题.
练习册系列答案
相关习题

科目:高中数学 来源: 题型:

已知双曲线C:
x2
a2
-
y2
b2
-1(a>0,b>0)
的两个焦点为F:(-2,0),F:(2,0),点P(3,
7
)

的曲线C上.
(Ⅰ)求双曲线C的方程;
(Ⅱ)记O为坐标原点,过点Q(0,2)的直线l与双曲线C相交于不同的两点E、F,若△OEF的面积为2
2
,求直线l的方程.

查看答案和解析>>

科目:高中数学 来源:2009年高考数学第二轮复习热点专题测试卷:平面解析几何(含详解) 题型:044

已知双曲线的两个焦点为F:(-2,0),F:(2,0),点P(3,)的曲线C上.

(Ⅰ)求双曲线C的方程;

(Ⅱ)记O为坐标原点,过点Q(0,2)的直线l与双曲线C相交于不同的两点EF,若△OEF的面积为求直线l的方程

查看答案和解析>>

科目:高中数学 来源:2009年高考数学第二轮执点专题测试、平面解析几何(含详解) 题型:044

已知双曲线的两个焦点为F:(-2,0),F:(2,0),点P(3,)的曲线C上.

(Ⅰ)求双曲线C的方程;

(Ⅱ)记O为坐标原点,过点Q(0,2)的直线l与双曲线C相交于不同的两点EF,若△OEF的面积为求直线l的方程

查看答案和解析>>

科目:高中数学 来源: 题型:

双曲线的两个焦点为F­1,F­2 ,点P在双曲线上,△的面积为,则                              

A.2                       B.                        C.-2                   D.  

查看答案和解析>>

科目:高中数学 来源: 题型:

双曲线的两个焦点为F­1,F­2 ,点P在双曲线上,的面积为,则                     

A.2                   B.               C.-2               D.-

查看答案和解析>>

同步练习册答案