精英家教网 > 高中数学 > 题目详情

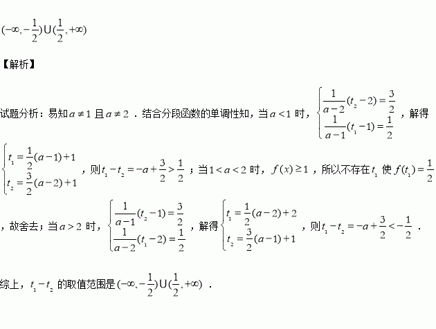
设函数若存在使得,则的取值范围是

练习册系列答案
相关习题

科目:高中数学 来源:2016届河北省高三上学期四调理科数学试卷(解析版) 题型:解答题

(本小题满分12分)

已知等差数列的公差为,前项和为,且

(1)求数列的通项公式与前项和

(2)将数列的前四项抽取其中一项后,剩下三项按原来顺序恰为等比数列的前三项,记数列的前项和为,若存在,使得对任意,总有成立,求实数的取值范围.

查看答案和解析>>

科目:高中数学 来源:2016届湖南省株洲市高三上学期期中文科数学试卷(解析版) 题型:解答题

如图,在几何体中,四边形均为边长为1的正方形.

(1)求证:

(2)求该几何体的体积.

查看答案和解析>>

科目:高中数学 来源:2016届湖北武汉华中师大一附等高三上第一次联考理数学卷(解析版) 题型:解答题

小明同学制作了一个简易的网球发射器,可用于帮忙练习定点接发球,如图1所示,网球场前半区、后半区总长为23.77米,球网的中间部分高度为0.914米,发射器固定安装在后半区离球网底部8米处中轴线上,发射方向与球网底部所在直线垂直.为计算方便,球场长度和球网中间高度分别按24米和1米计算,发射器和网球大小均忽略不计.如图2所示,以发射器所在位置为坐标原点建立平面直角坐标系轴在地平面上的球场中轴线上,轴垂直于地平面,单位长度为1米.已知若不考虑球网的影响,网球发射后的轨迹在方程表示的曲线上,其中与发射方向有关.发射器的射程是指网球落地点的横坐标.

(1)求发射器的最大射程;

(2)请计算在什么范围内,发射器能将球发过网(即网球飞行到球网正上空时,网球离地距离大于1米)?若发射器将网球发过球网后,在网球着地前,小明要想在前半区中轴线的正上空选择一个离地面2.55米处的击球点正好击中网球,试问击球点的横坐标最大为多少?并请说明理由.

查看答案和解析>>

科目:高中数学 来源:2016届福建省高三上学期期中考理科数学试卷(解析版) 题型:填空题

二项式的展开式中的常数项为

查看答案和解析>>

科目:高中数学 来源:2015-2016学年山西省太原市高二12月月考数学试卷(解析版) 题型:填空题

若直线与圆没有公共点,则以为点的坐标,过点的一条直线与椭圆的公共点个数为

查看答案和解析>>

科目:高中数学 来源:2015-2016学年湖南师大附中高二上学期期中文科数学试卷(解析版) 题型:填空题

若实数满足,则的最小值是_________.

查看答案和解析>>

科目:高中数学 来源:2014-2015学年贵州省高二上学期半期考试文科数学试卷(解析版) 题型:选择题

执行右面的程序框图,如果输入的,则输出的属于( )

A、 B、 C、 D、

查看答案和解析>>

科目:高中数学 来源:2016届福建省高三上学期半期考试文科数学试卷(解析版) 题型:解答题

已知函数,e为自然对数的底数.

(Ⅰ)若过点A(2,f(2))的切线斜率为2,求实数a的值;

(Ⅱ)当x>0时,求证:

(Ⅲ)在区间(1,e)上恒成立,求实数a的取值范围.

查看答案和解析>>

同步练习册答案