精英家教网 > 高中数学 > 题目详情

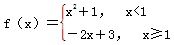
若函数上是单调函数,则的取值范围是( )

A. B.

C. D.

练习册系列答案
相关习题

科目:高中数学 来源:2015-2016学年广东省普宁市高一上学期期中考试数学试卷(解析版) 题型:选择题

下列各组向量中:① 其中能作为表示它们所在平面内所有向量的基底的是 ( )

A.① B.①③ C.②③ D.①②③

查看答案和解析>>

科目:高中数学 来源:2015-2016学年四川成都市六校高二上学期期中联考文科数学试卷(解析版) 题型:填空题

如图,在棱长为1的正方体中,M、N分别是的中点,则图中阴影部分在平面上的投影的面积为

查看答案和解析>>

科目:高中数学 来源:2015-2016学年湖北省宜昌市高一上学期期中考试数学试卷(解析版) 题型:选择题

已知f(x)=(a>0,且a≠1)是R上的增函数,那么a的取值范围是( )

A.[,+∞) B.[1,+∞) C.(-∞,2) D.[,2)

查看答案和解析>>

科目:高中数学 来源:2015-2016学年河北省高一上学期第一次月考数学试卷(解析版) 题型:选择题

已知,则f(f(2))=( )

A.-7 B.2 C.-1 D.5

查看答案和解析>>

科目:高中数学 来源:2015-2016学年福建厦门双十中学高二上期中文科数学试卷(解析版) 题型:选择题

设数列的前项和为,且,则( ).

A. B. C. D.

查看答案和解析>>

科目:高中数学 来源:2015-2016学年福建三明一中高二上第二次月考文数学卷(解析版) 题型:选择题

若点在椭圆上,分别是椭圆的两焦点,且,则的面积是( )

A. B. C. D.

查看答案和解析>>

科目:高中数学 来源:2016届河南省高三上第八次大考理科数学试卷(解析版) 题型:选择题

已知定义在上的函数满足,当时,,设上的最大值为,且的前项和为,则=( ).

A. B. C. D.

查看答案和解析>>

科目:高中数学 来源:2015-2016学年云南省蒙自市高一10月月考数学试卷(解析版) 题型:选择题

已知全集U={0,1,2},则集合U的真子集共有( ).

A.5个 B.6个 C.7个 D.8个

查看答案和解析>>

同步练习册答案