精英家教网 > 高中数学 > 题目详情

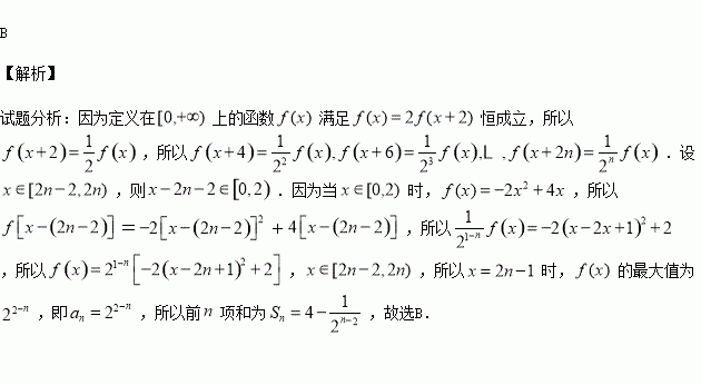
已知定义在上的函数满足,当时,,设上的最大值为,且的前项和为,则=( ).

A. B. C. D.

练习册系列答案
相关习题

科目:高中数学 来源:2015-2016学年四川省高一上学期第一学月考数学试卷(解析版) 题型:解答题

(本小题满分10分)根据函数单调性定义证明:函数上是减函数.

查看答案和解析>>

科目:高中数学 来源:2015-2016学年广东省普宁市高一上学期期中考试数学试卷(解析版) 题型:选择题

若函数上是单调函数,则的取值范围是( )

A. B.

C. D.

查看答案和解析>>

科目:高中数学 来源:2016届湖南省常德市高三上第五次月考文科数学试卷(解析版) 题型:填空题

已知,若 恒成立,则实数的取值范围是________.

查看答案和解析>>

科目:高中数学 来源:2016届湖南省常德市高三上第五次月考理科数学试卷(解析版) 题型:选择题

在如图所示的程序框图中,当 时,函数 表示函数的导函数,若输入函数,则输出的函数可化为( )

(A) (B)

(C) (D)

查看答案和解析>>

科目:高中数学 来源:2015-2016学年湖南师大附中高二上学期第三次检测数学卷(解析版) 题型:填空题

如果一个水平放置的图形的斜二测直观图是一个底角为,腰和上底均为1的等腰梯形,那么原平面图形的面积是

查看答案和解析>>

科目:高中数学 来源:2016届湖南省长沙市高三上学期月考五文科数学试卷(解析版) 题型:选择题

如图,从气球A上测得正前方的河流的两岸B,C的俯角为,此时气球的高度是60m,则河流的宽度BC等于()

A. B.

C. D.

查看答案和解析>>

科目:高中数学 来源:2015-2016学年四川省雅安市高二11月月考文科数学试卷(解析版) 题型:选择题

已知点在直线上,那么的最小值为( )

A. B. C. D.2

查看答案和解析>>

科目:高中数学 来源:2015-2016学年吉林省高一上学期期末数学试卷(解析版) 题型:选择题

已知函数的部分图象如图所示,下列说法正确的是( )

(A)的最小正周期为

(B)的图象关于直线对称

(C)的图象关于点对称

(D)当时,方程上有两个不相等的实数根

查看答案和解析>>

同步练习册答案