精英家教网 > 高中数学 > 题目详情

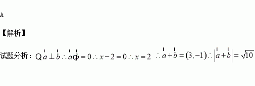
,向量,且,则( )

A. B. C. D.

练习册系列答案
相关习题

科目:高中数学 来源:2015-2016学年湖南省高二上学期期中文科数学试卷(解析版) 题型:填空题

不等式x2﹣2x<0的解集为

查看答案和解析>>

科目:高中数学 来源:2015-2016学年湖南省高二上学期期中考试理科数学试卷(解析版) 题型:选择题

已知数列是等差数列,且,则等于( )

A. B. C. D.

查看答案和解析>>

科目:高中数学 来源:2015-2016学年福建省高二上学期期中考试理科数学试卷(解析版) 题型:选择题

福州青运会开幕式上举行升旗仪式,在坡度15°的看台上,同一列上的第一排和最后一排测得旗杆顶部的仰角分别为60°和30°,第一排和最后一排的距离为米(如下图所示),则旗杆的高度为( )米.

A. B.

C.20 D.30

查看答案和解析>>

科目:高中数学 来源:2014-2015学年上海市高二下学期期末考试数学试卷(解析版) 题型:填空题

分别是双曲线的左、右焦点,若点在双曲线上,且,则

查看答案和解析>>

科目:高中数学 来源:2015-2016学年山东省临沂市高二上期中模拟理数学试卷(解析版) 题型:选择题

在数列{an}中,a1=2,an+1=an+ln(1+),则an=( )

A.2+ln n B.2+(n-1)ln n

C.2+n ln n D.1+n+ln n

查看答案和解析>>

科目:高中数学 来源:2015-2016学年辽宁省大连市高二上期中文科数学试卷(解析版) 题型:选择题

抛物线的焦点坐标为

(A) (B) (C) (D)

查看答案和解析>>

科目:高中数学 来源:2015-2016学年江西省赣州市十三县高二上期中联考理科数学试卷(解析版) 题型:解答题

(本题12分)

已知平面区域恰好被面积最小的圆及其内部所覆盖.

(1)试求圆的方程.

(2)若斜率为1的直线与圆交于不同两点满足,求直线的方程.

查看答案和解析>>

科目:高中数学 来源:2016届重庆市高三上学期第三次月考文科数学试卷(解析版) 题型:选择题

已知函数是定义域为的偶函数,且在上单调递增,则不等式 的解集为( )

A. B.

C. D.

查看答案和解析>>

同步练习册答案