精英家教网 > 高中数学 > 题目详情

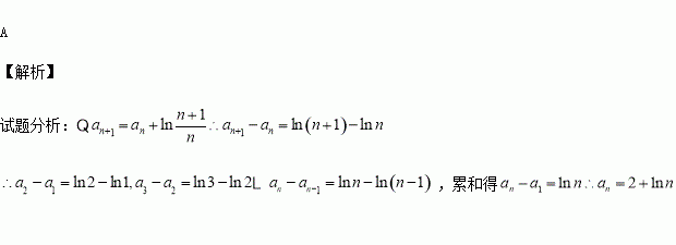
在数列{an}中,a1=2,an+1=an+ln(1+),则an=( )

A.2+ln n B.2+(n-1)ln n

C.2+n ln n D.1+n+ln n

练习册系列答案
相关习题

科目:高中数学 来源:2015-2016学年山东省高一上学期期中模块考试数学试卷(解析版) 题型:填空题

已知偶函数上为增函数,且,则的取值范围为

查看答案和解析>>

科目:高中数学 来源:2015-2016学年福建省高一上学期期中考试数学试卷(解析版) 题型:选择题

已知函数是函数的反函数,则( )

A. B. C. D.

查看答案和解析>>

科目:高中数学 来源:2014-2015学年上海市高二下学期期末考试数学试卷(解析版) 题型:填空题

已知抛物线,过定点作两条互相垂直的直线与抛物线交于两点,与抛物线交于两点,设的斜率为.若某同学已正确求得弦的中垂线在y轴上的截距为,则弦MN的中垂线在y轴上的截距为

查看答案和解析>>

科目:高中数学 来源:2015-2016学年重庆市高二上第一次月考理科数学试卷(解析版) 题型:选择题

,向量,且,则( )

A. B. C. D.

查看答案和解析>>

科目:高中数学 来源:2015-2016学年辽宁省大连市高二上期中文科数学试卷(解析版) 题型:选择题

焦点为,且与双曲线有相同的渐近线的双曲线方程是

(A) (B)

(C) (D)

查看答案和解析>>

科目:高中数学 来源:2015-2016学年辽宁省大连市高二上期中理科数学试卷(解析版) 题型:选择题

下列所给点中,在方程表示的曲线上的是

(A) (B) (C) (D)

查看答案和解析>>

科目:高中数学 来源:2015-2016学年江西省赣州市十三县高二上期中联考理科数学试卷(解析版) 题型:选择题

已知直线的倾斜角是,则的值是( )

A.-1 B.0 C.1 D.2

查看答案和解析>>

科目:高中数学 来源:2016届重庆市高三上学期第三次月考理科数学试卷(解析版) 题型:填空题

的面积为,则的取值范围是

查看答案和解析>>

同步练习册答案