精英家教网 > 高中数学 > 题目详情

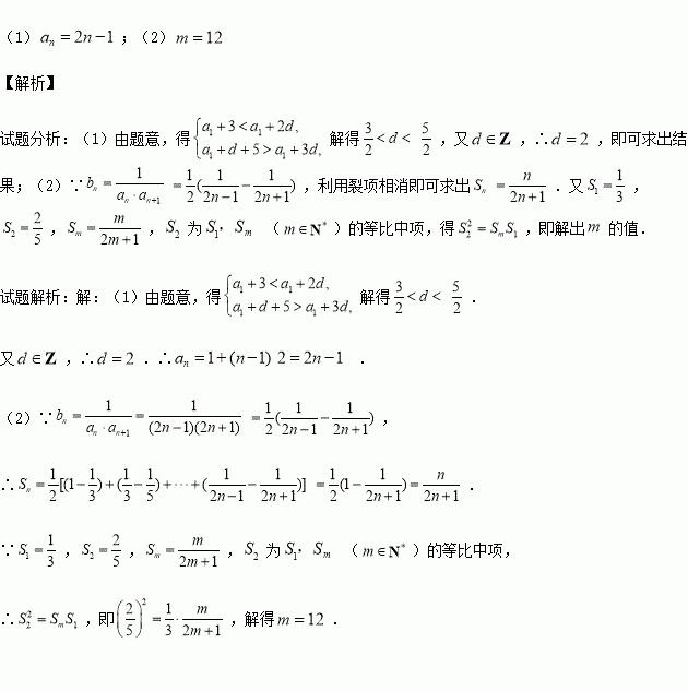
已知等差数列中,首项,公差为整数,且满足,数列满足,其前项和为

(1)求数列的通项公式

(2)若的等比中项,求的值.

练习册系列答案
相关习题

科目:高中数学 来源:2015-2016学年福建厦门双十中学高二上期中文科数学试卷(解析版) 题型:解答题

(本小题满分10分)

在△ABC中, 是方程的一个根,

(1)求

(2)当时,求△ABC周长的最小值.

查看答案和解析>>

科目:高中数学 来源:2016届重庆市高三上学期期中文科数学试卷(解析版) 题型:选择题

下列函数中,即是奇函数又是增函数的为( )

A. B. C. D.

查看答案和解析>>

科目:高中数学 来源:2015-2016学年河北省高一上学期期中数学试卷(解析版) 题型:选择题

已知集合,则

A.

B.

C.

D.

查看答案和解析>>

科目:高中数学 来源:2015-2016年河北省高二上学期期中数学试卷(解析版) 题型:解答题

的切线与x轴正半轴,y轴正半轴围成一个三角形,当该三角形面积最小时,切点为P.

(1)求点P坐标;

(2)焦点在x轴上的椭圆过点P,且与直线交于A,B两点,若的面积为2,求椭圆的标准方程.

查看答案和解析>>

科目:高中数学 来源:2016届浙江省高三期中理科数学试卷(解析版) 题型:解答题

(本题满分15分)已知函数

(Ⅰ)若当时,不等式恒成立,求实数的取值范围;

(Ⅱ)求函数在区间上的最大值.

查看答案和解析>>

科目:高中数学 来源:2016届江西省高三上学期期中文科数学试卷(解析版) 题型:选择题

下列命题中,正确的是 ( ).

A.存在,使得

B.“”是“”的充要条件

C.若,则

D.若函数有极值,则

【答案】C

【解析】

试题分析:A中,令,则,所以为增函数,所以,即,所以不存在,使得,不正确;B中当时,不成立,不正确;D中,,则有,解得,而当时,,此时函数无极值,故D不正确; C正确,故选C.

考点:1、命题真假的判定;2、充分条件与必要条件的判定;3、函数的极值.

【易错点睛】判断选项A中命题时会直观误认为函数与函数有交点,进而认为是正确的;判断选项B时,由“”推导“”时会忽视的符号;判断D中命题时,会忽视所求得的值进行极值验证.

【题型】选择题
【适用】较难
【标题】【百强校】2016届江西省临川一中高三上学期期中文科数学试卷(带解析)
【关键字标签】
【结束】
 

是定义在上的偶函数,对,都有,且当时, .若在区间内关于的方程恰有3个不同实根,则的取值范围是( )

A. B. C. D.

查看答案和解析>>

科目:高中数学 来源:2016届吉林省高三上学期二模文科数学试卷(解析版) 题型:选择题

下列区间中,函数在其上为增函数的是( )

A.(- B. C. D.

查看答案和解析>>

科目:高中数学 来源:2015-2016学年江苏启东中学高二上学期期中文科数学试卷(解析版) 题型:填空题

过点可作圆的两条切线,则实数的取值范围为

查看答案和解析>>

同步练习册答案