精英家教网 > 高中数学 > 题目详情

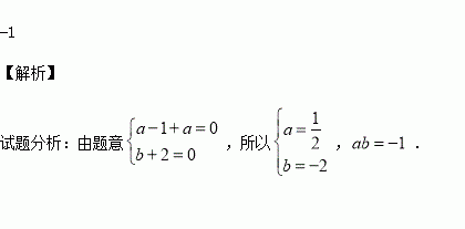
已知函数是定义在的偶函数,则=

练习册系列答案
相关习题

科目:高中数学 来源:2015-2016学年安徽省阜阳市高二上第一次调研考文科数学试卷(解析版) 题型:选择题

,则下列代数式中值最大的是( )

A. B.

C. D.

查看答案和解析>>

科目:高中数学 来源:2016届福建省高三第一次月考理科数学试卷(解析版) 题型:解答题

已知

(1)求的极值点;

(2)当时,若方程上有两个实数解,求实数t的取值范围;

(3)证明:当时,

查看答案和解析>>

科目:高中数学 来源:2015-2016学年四川成都七中高二10月段考文科数学试卷(解析版) 题型:填空题

己知圆,及

轴上动点,当最大时,点坐标为

②过任作一条直线,与圆交于,则

③过任作一条直线,与圆交于,则成立

④任作一条直线与圆交于,则仍有

上述说法正确的是

查看答案和解析>>

科目:高中数学 来源:2015-2016学年四川成都七中高二10月段考理科数学试卷(解析版) 题型:选择题

若直线始终平分圆的周长,则的最小值为( )

A. B. C. D.

查看答案和解析>>

科目:高中数学 来源:2015-2016学年江苏省高一上期中考试数学试卷(解析版) 题型:填空题

函数满足对定义域中的任意两个不相等的都成立,则的取值范围是

查看答案和解析>>

科目:高中数学 来源:2014-2015学年四川省高一下学期月考测文科数学试卷(解析版) 题型:选择题

ABC中,A,B,C为内角,且sinAcosA=sinBcosB则△ABC是 ( )

A.等腰三角形 B.直角三角形

C.等腰直角三角形 D.等腰或直角三角形

查看答案和解析>>

科目:高中数学 来源:2014-2015学年浙江省嵊州市高二下期末检测文科数学A卷(解析版) 题型:解答题

(本小题满分15分)

已知椭圆)的一个焦点为,且上一点到其两焦点的距离之和为

(Ⅰ)求椭圆的标准方程;

(Ⅱ)设直线与椭圆交于不同两点,若点满足,求实数的值.

查看答案和解析>>

科目:高中数学 来源:2014-2015学年江西省上饶市等四校高一6月考理科数学试卷(解析版) 题型:填空题

是夹角为60°的两个单位向量,若=2=-3+2, 则的夹角为 .

查看答案和解析>>

同步练习册答案