精英家教网 > 高中数学 > 题目详情

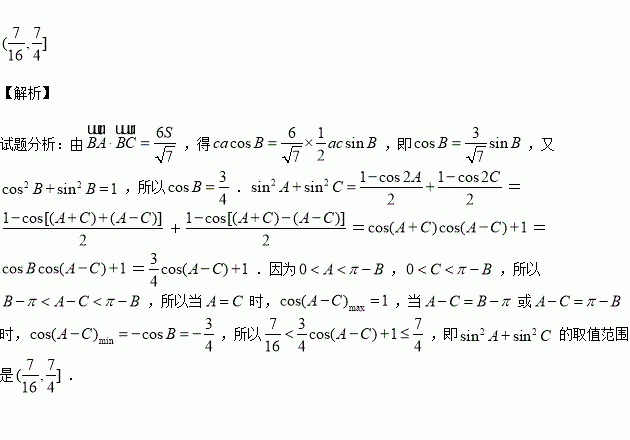
的面积为,则的取值范围是

练习册系列答案
相关习题

科目:高中数学 来源:2015-2016学年山东省临沂市高二上期中模拟理数学试卷(解析版) 题型:选择题

若关于的方程有解,则实数的取值范围是( )

A. B.

C. D.

查看答案和解析>>

科目:高中数学 来源:2015-2016学年湖北省宜昌市高二上期中文科数学试卷(解析版) 题型:选择题

已知一组数据为20、30、40、50、60、60、70,则这组数据的众数、中位数、平均数的大小关系为( )

A.中位数 >平均数 >众数 B.众数 >中位数 >平均数

C.众数 >平均数 >中位数 D.平均数 >众数 >中位数

查看答案和解析>>

科目:高中数学 来源:2015-2016学年广东省普宁市高二上期中理科数学试卷(解析版) 题型:解答题

(本小题满分12分)

已知函数的图像经过点

(1)求的值;

(2)在中,所对的边分别为,若,且.求

查看答案和解析>>

科目:高中数学 来源:2016届重庆市高三上学期第三次月考文科数学试卷(解析版) 题型:选择题

已知函数是定义域为的偶函数,且在上单调递增,则不等式 的解集为( )

A. B.

C. D.

查看答案和解析>>

科目:高中数学 来源:2016届云南省玉溪市高三上学期期中文科数学试卷(解析版) 题型:填空题

数列的通项其前项和为,则=______.

查看答案和解析>>

科目:高中数学 来源:2016届云南省玉溪市高三上学期期中理科数学试卷(解析版) 题型:选择题

若实数满足不等式组,目标函数的最大值为,则实数的值是( )

A. B. C. D.

查看答案和解析>>

科目:高中数学 来源:2016届辽宁省抚顺市高三上学期第一次模拟文科数学试卷(解析版) 题型:选择题

将函数的图象向右平移个单位长度,所得图象对应的函数( )

A.在区间上单调递减

B.在区间上单调递增

C.在区间上单调递减

D.在区间上单调递增

查看答案和解析>>

科目:高中数学 来源:2015-2016学年吉林省高一上学期期中数学试卷(解析版) 题型:选择题

三个数的大小顺序是

(A)

(B)

(C)

(D)

查看答案和解析>>

同步练习册答案