科目:高中数学 来源:2014-2015学年上海市高二下学期期末考试数学试卷(解析版) 题型:填空题
在一个密闭的容积为1的透明正方体容器内装有部分液体,如果任意转动该正方体,液面的形状都不可能是三角形,那么液体体积的取值范围是 .
查看答案和解析>>
科目:高中数学 来源:2015-2016学年江西省赣州市十三县高二上期中联考理科数学试卷(解析版) 题型:选择题
若将一个质点随机投入如图所示的长方形
中,其中
,
,则质点落在以
为直径的半圆内的概率是( )
![]()
A.
B.
C.
D.![]()
查看答案和解析>>
科目:高中数学 来源:2015-2016学年湖北省宜昌市高二上期中理科数学试卷(解析版) 题型:选择题
在一次数学测验中,统计7名学生的成绩分布茎叶图如图所示,若这7名学生的平均成绩为77分,则x的值为( )
![]()
A、5 B、6 C、7 D、8
查看答案和解析>>
科目:高中数学 来源:2015-2016学年广东省普宁市高二上期中文科数学试卷(解析版) 题型:填空题
给出下列四个结论:
①命题“
的否定是“
”;
②“若
则
”的逆命题为真;
③函数
(x
)有3个零点;
④对于任意实数x,有
且x>0时,
则x<0时![]()
其中正确结论的序号是 .(填上所有正确结论的序号)
查看答案和解析>>
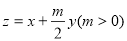
科目:高中数学 来源:2016届重庆市高三上学期第三次月考文科数学试卷(解析版) 题型:解答题
(本小题满分12分) 如图,在△
中,
为
边上一点,
,已知
,
.
![]()
(1)若△
是锐角三角形,
,求角
的大小;
(2)若△
的面积为
,求边
的长.
查看答案和解析>>
科目:高中数学 来源:2016届辽宁省葫芦岛市高三上学期期中文科数学试卷(解析版) 题型:填空题
设
满足约束条件
,若目标函数
的最大值为
,则
的图象向右平移
后的表达式为___________.
查看答案和解析>>
科目:高中数学 来源:2015-2016学年江西南昌二中高二上学期期中文科数学试卷(解析版) 题型:选择题
如图,
、
是双曲线
的左、右焦点,过
的直线
与双曲线的左右两支分别交于点
、
.若
为等边三角形,则双曲线的离心率为
![]()
A.4 B.
C.
D.![]()
查看答案和解析>>
湖北省互联网违法和不良信息举报平台 | 网上有害信息举报专区 | 电信诈骗举报专区 | 涉历史虚无主义有害信息举报专区 | 涉企侵权举报专区
违法和不良信息举报电话:027-86699610 举报邮箱:58377363@163.com