精英家教网 > 高中数学 > 题目详情

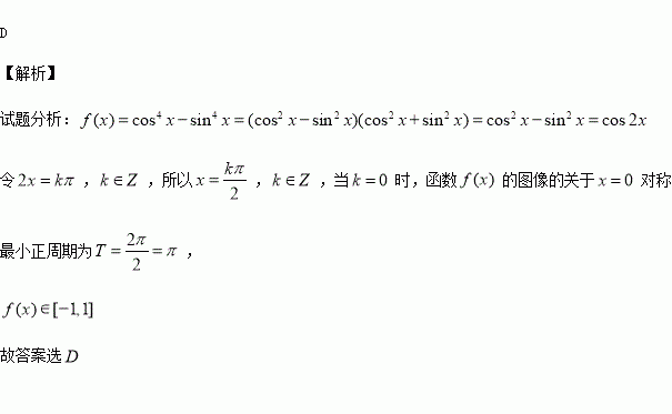
已知函数,下列结论中错误的是( )

A.

B.的最小正周期为

C.的图像关于直线对称

D.的值域为

练习册系列答案
相关习题

科目:高中数学 来源:2015-2016学年吉林省高一上学期期中数学试卷(解析版) 题型:选择题

已知函数的图象如图所示,则函数的图象可能是

查看答案和解析>>

科目:高中数学 来源:2015-2016学年湖北省高一上学期期中数学试卷(解析版) 题型:选择题

三个数的大小顺序是( )

A. B.

C. D.

查看答案和解析>>

科目:高中数学 来源:2015-2016学年福建省高一上学期期中数学试卷(解析版) 题型:选择题

已知函数互不相等,且的取值范围是( )

A. B. C. D.

查看答案和解析>>

科目:高中数学 来源:2015-2016学年江西省南昌市高一上学期期中考试数学试卷(解析版) 题型:填空题

己知函数f(x)=X²-1,则函数f(x-1)的零点是

查看答案和解析>>

科目:高中数学 来源:2016届北京市海淀区高三上学期期中考试理科数学试卷(解析版) 题型:填空题

查看答案和解析>>

科目:高中数学 来源:2015-2016学年云南省景洪市高二上学期期中考试数学试卷(解析版) 题型:选择题

如图,是由一个圆、一个三角形和一个长方形构成的组合体,现用红、蓝两种颜色为其涂色,每个图形只能涂一种颜色,则三个形状颜色不全相同的概率为( )

A. B. C. D.

查看答案和解析>>

科目:高中数学 来源:2016届江西省新余市高三第四次模拟文科数学试卷(解析版) 题型:填空题

已知_______________.

查看答案和解析>>

科目:高中数学 来源:2015-2016学年浙江省温州市十校联合体高一上学期期中考试数学试卷(解析版) 题型:选择题

已知全集,集合,且,则的值是

A. B.1 C.3 D.

查看答案和解析>>

同步练习册答案