精英家教网 > 高中数学 > 题目详情

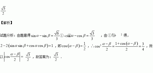
已知_______________.

练习册系列答案
相关习题

科目:高中数学 来源:2015-2016学年湖南省常德市高一上学期期中数学试卷(解析版) 题型:选择题

计算的结果是( )

A. B. C. D.

查看答案和解析>>

科目:高中数学 来源:2016届北京市海淀区高三上学期期中考试文科数学试卷(解析版) 题型:选择题

已知函数,下列结论中错误的是( )

A.

B.的最小正周期为

C.的图像关于直线对称

D.的值域为

查看答案和解析>>

科目:高中数学 来源:2016届浙江省嘉兴市高三上学期能力测试文科数学试卷(解析版) 题型:解答题

中,内角的对边分别为,且

(Ⅰ) 求角A的大小;

(Ⅱ) 若,求的值.

查看答案和解析>>

科目:高中数学 来源:2016届浙江省嘉兴市高三上学期能力测试理科数学试卷(解析版) 题型:选择题

命题“”的否定形式是( )

A. B.

C. D.

查看答案和解析>>

科目:高中数学 来源:2016届黑龙江省哈尔滨市高三12月月考文科数学试卷(解析版) 题型:解答题

甲乙两个学校高三年级分别有1200人,1000人,为了了解两个学校全体

高三年级学生在该地区六校联考的数学成绩情况,采用分层抽样方法从两个学校一共抽取了110名学生

的数学成绩,并作出了频数分布统计表如下:

甲校:

分组

[70,80)

[80,90)

[90,100)

[100,110)

频数

3

4

8

15

分组

[110,120)

[120,130)

[130,140)

[140,150]

频数

15

x

3

2

乙校:

分组

[70,80)

[80,90)

[90,100)

[100,110)

频数

1

2

8

9

分组

[110,120)

[120,130)

[130,140)

[140,150]

频数

10

10

y

3

(1)计算x,y的值.

(2)若规定考试成绩在[120,150]内为优秀,请分别估计两个学校数学成绩的优秀率;

(3)由以上统计数据填写下面2×2列联表,并判断是否有90%的把握认为两个学校的数学成绩有差异.

甲校

乙校

总计

优秀

非优秀

总计

参考公式:

临界值表

P(K≥k0)

0.10

0.05

0.010

k0

2.706

3.841

6.635

查看答案和解析>>

科目:高中数学 来源:2016届河南省郑州市高三上学期联考文科数学试卷(解析版) 题型:选择题

,则成立的( )

A.充分不必要条件 B.必要不充分条件

C.充分必要条件 D.既不充分也不必要条件

查看答案和解析>>

科目:高中数学 来源:2015-2016学年广西陆川县中学高一上学期周测九数学试卷(解析版) 题型:解答题

已知函数).

(1)若函数有两个零点,求的取值范围;

(2)若函数在区间上各有一个零点,求的取值范围.

查看答案和解析>>

科目:高中数学 来源:2015-2016年湖北武汉华中师大一附高二上期中文科数学卷(解析版) 题型:选择题

椭圆的左、右焦点分别为F1,F2,弦AB过F1点,若△ABF2的内切圆周长为,A,B两点的坐标分别为(x1,y1),(x2,y2),则的值为( )

A. B. C. D.

查看答案和解析>>

同步练习册答案