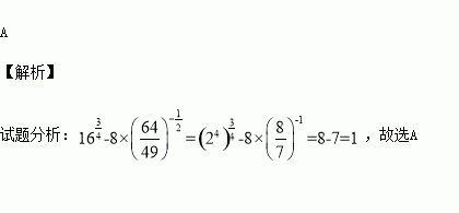
精英家教网 > 高中数学 > 题目详情

计算的结果是( )

A. B. C. D.

练习册系列答案
相关习题

科目:高中数学 来源:2016届辽宁省抚顺市高三上学期第一次模拟文科数学试卷(解析版) 题型:解答题

(本小题满分10分)选修4-1:几何证明选讲.

如图,在正中,点分别在边上,且相交于点

求证:(Ⅰ)四点共圆;

(Ⅱ)

查看答案和解析>>

科目:高中数学 来源:2015-2016学年吉林省高一上学期期中数学试卷(解析版) 题型:选择题

已知函数的图象如图所示,则函数的图象可能是

查看答案和解析>>

科目:高中数学 来源:2015-2016学年湖南省常德市高一上学期期中数学试卷(解析版) 题型:解答题

(共12分)已知幂函数的图像经过,函数为常数),函数

(1)分析函数的奇偶性;

(2)若在区间上递增,试求的取值范围.

查看答案和解析>>

科目:高中数学 来源:2015-2016学年湖南省常德市高一上学期期中数学试卷(解析版) 题型:选择题

已知函数在区间上是减函数,则实数m的取值范围是( )

A.

B.

C.

D.

查看答案和解析>>

科目:高中数学 来源:2015-2016学年湖北省高一上学期期中数学试卷(解析版) 题型:填空题

,则

查看答案和解析>>

科目:高中数学 来源:2015-2016学年湖北省高一上学期期中数学试卷(解析版) 题型:选择题

三个数的大小顺序是( )

A. B.

C. D.

查看答案和解析>>

科目:高中数学 来源:2015-2016学年福建省高一上学期期中数学试卷(解析版) 题型:选择题

已知函数互不相等,且的取值范围是( )

A. B. C. D.

查看答案和解析>>

科目:高中数学 来源:2016届江西省新余市高三第四次模拟文科数学试卷(解析版) 题型:填空题

已知_______________.

查看答案和解析>>

同步练习册答案