精英家教网 > 高中数学 > 题目详情

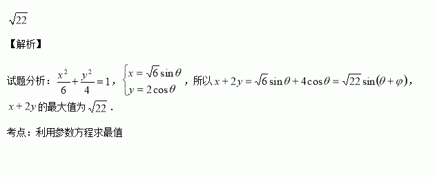
是椭圆上的一个动点,则的最大值为___________。

练习册系列答案
相关习题

科目:高中数学 来源:2014-2015学年江西省高二上学期期末考试文科数学试卷(解析版) 题型:填空题

已知定义域为R的函数满足,且的导数,则不等式的解集为 .

查看答案和解析>>

科目:高中数学 来源:2014-2015学年江西省高二下学期第一次月考文科数学试卷(解析版) 题型:解答题

双曲线C与椭圆+=1有相同焦点,且经过点(4,).

(1)求双曲线的方程;

(2)若F1,F2是双曲线C的两个焦点,点P在双曲线C上,且∠F1PF2=60°,求△F1PF2的面积.

查看答案和解析>>

科目:高中数学 来源:2014-2015学年江西省高二下学期第一次月考文科数学试卷(解析版) 题型:选择题

一个水平放置的三角形的斜二侧直观图是等腰直角三角形A′B′O′,若O′B′=1,那么原△ABO的面积是( )

A. B. C. D.

查看答案和解析>>

科目:高中数学 来源:2014-2015学年湖南省益阳市高二3月月考理科数学试卷(解析版) 题型:解答题

(本小题满分12分)已知△ABC中,三个内角A,B,C的对边分别为, 若△ABC的外接圆的半径为,且

(I)求∠C;

(Ⅱ)求△ABC的面积S的最大值.

查看答案和解析>>

科目:高中数学 来源:2014-2015学年湖南省益阳市高二3月月考理科数学试卷(解析版) 题型:选择题

在△ABC中,∠A∶∠B∶∠C=1∶2∶3,CD⊥AB于D,AB=,则DB=( )

A. B. C. D.

查看答案和解析>>

科目:高中数学 来源:2014-2015学年湖南省高一下学期第一次月考数学试卷(解析版) 题型:解答题

已知函数图象上一个最高点为P(2,2),由这个最高点到相邻最低点间的曲线与X轴相交于点Q(6,0)。

(1)求这个函数的解析式;

(2)写出这个函数的单调区间。

查看答案和解析>>

科目:高中数学 来源:2014-2015学年湖南省高一下学期第一次月考数学试卷(解析版) 题型:选择题

下列函数中,最小正周期为的是( )

A. B.

C. D.

查看答案和解析>>

科目:高中数学 来源:2014-2015学年广东省清远市高二下学期3月考理科数学试卷(解析版) 题型:选择题

函数的递增区间是( )

A. B. C. D.

查看答案和解析>>

同步练习册答案