精英家教网 > 高中数学 > 题目详情

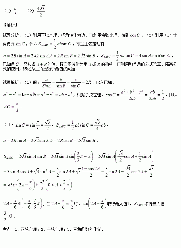
(本小题满分12分)已知△ABC中,三个内角A,B,C的对边分别为, 若△ABC的外接圆的半径为,且

(I)求∠C;

(Ⅱ)求△ABC的面积S的最大值.

练习册系列答案
相关习题

科目:高中数学 来源:2014-2015学年江西省高二上学期期末考试文科数学试卷(解析版) 题型:解答题

已知椭圆的离心率为,右焦点为(,0).

(1)求椭圆的方程;

(2)若过原点作两条互相垂直的射线,与椭圆交于两点,求证:点到直线的距离为定值.

查看答案和解析>>

科目:高中数学 来源:2014-2015学年江西省高一下学期第一次月考数学试卷(解析版) 题型:选择题

已知等差数列中,,则首项和公差的值分别为( )

A、1,-3 B、-2,-3 C、2,3 D、-3,1

查看答案和解析>>

科目:高中数学 来源:2014-2015学年江西省高二下学期第一次月考文科数学试卷(解析版) 题型:选择题

将一张坐标纸折叠一次,使点(0,5)与点(4,3)重合,则与点(-4,2)重合的是( )

A.(4,-2) B.(4,-3) C.(3,-) D.(3,-1)

查看答案和解析>>

科目:高中数学 来源:2014-2015学年湖南省益阳市高二3月月考理科数学试卷(解析版) 题型:解答题

(本小题满分14分)已知函数,其中

(1)求的单调区间;

(2)求证:

查看答案和解析>>

科目:高中数学 来源:2014-2015学年湖南省益阳市高二3月月考理科数学试卷(解析版) 题型:填空题

是椭圆上的一个动点,则的最大值为___________。

查看答案和解析>>

科目:高中数学 来源:2014-2015学年湖南省益阳市高二3月月考理科数学试卷(解析版) 题型:选择题

极坐标方程表示的曲线为( )

A.一条射线和一个圆 B.两条直线

C.一条直线和一个圆 D.一个圆

查看答案和解析>>

科目:高中数学 来源:2014-2015学年湖南省高一下学期第一次月考数学试卷(解析版) 题型:选择题

,则( )

A. B. C. D.

查看答案和解析>>

科目:高中数学 来源:2014-2015学年广东省清远市高二下学期3月考理科数学试卷(解析版) 题型:选择题

曲线处的切线平行于直线,则点的坐标为( )

A.(-1,0)

B.(0,-2)

C.(-1,-4)或(1,0)

D.(1,4)

查看答案和解析>>

同步练习册答案