精英家教网 > 高中数学 > 题目详情

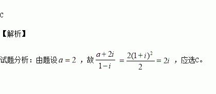
若复数为纯虚数,则的值为( )

A.2 B. C. D.

练习册系列答案
相关习题

科目:高中数学 来源:2016届湖南省四大名校高三3月联考数学(理)试卷(解析版) 题型:解答题

选修4-5:不等式选讲

已知函数.

(1)若不等式的解集为,求实数的值;

(2)在(1)的条件下,若存在实数使成立,求实数的取值范围.

查看答案和解析>>

科目:高中数学 来源:2016届黑龙江哈尔滨一中高三第二次模拟考试数学(理)卷(解析版) 题型:选择题

如果执行如图所示的程序框图,输入,则输出的值为( )

A. B. C.0 D.2

查看答案和解析>>

科目:高中数学 来源:2016届山西右玉一中高三下学期模拟考试数学(理)试卷(解析版) 题型:填空题

已知等差数列中,,则数列的前项和

查看答案和解析>>

科目:高中数学 来源:2016届山西右玉一中高三下学期模拟考试数学(理)试卷(解析版) 题型:选择题

已知,则的大小关系为( )

A. B. C. D.

查看答案和解析>>

科目:高中数学 来源:2016届河北沧州市高三4月调研数学(文)试卷(解析版) 题型:解答题

已知函数

(Ⅰ)若函数上单调递增,求实数的取值范围;

(Ⅱ)已知.当时,有两个极值点,且,求的最小值。

查看答案和解析>>

科目:高中数学 来源:2016届河北沧州市高三4月调研数学(文)试卷(解析版) 题型:填空题

满足约束条件则目标函数的取值范围是_____________。

查看答案和解析>>

科目:高中数学 来源:2016届河北沧州市高三4月调研数学(理)试卷(解析版) 题型:解答题

已知函数,曲线处切线的斜率为。(为自然对数的底数)

(Ⅰ)求的值;

(Ⅱ)证明:

查看答案和解析>>

科目:高中数学 来源:2016届福建厦门外国语学校高三5月适应性数学(文)试卷(解析版) 题型:选择题

如下图,四个边长为1的正方形排成一个大正方形,AB是大正方形的一条边,Pi(i=1,2,…, 7)是小正方形的其余顶点,则·(i=1,2,…,7)的不同值的个数为( )

A.7 B.5 C.3 D.1

查看答案和解析>>

同步练习册答案