精英家教网 > 高中数学 > 题目详情

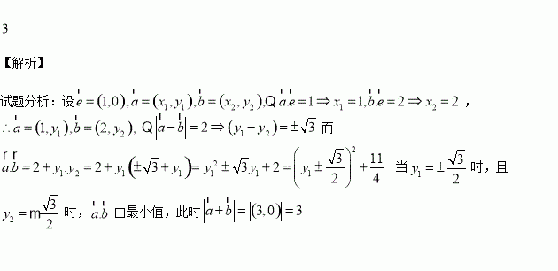
已知平面向量满足,当取最小值时,

练习册系列答案
相关习题

科目:高中数学 来源:2016届山东师大附中高三上学期二模文科数学试卷(解析版) 题型:解答题

(本小题满分12分)已知等差数列的前n项和为,公差成等比数列.

(1)求数列的通项公式;

(2)设,求数列的前n项和

查看答案和解析>>

科目:高中数学 来源:2014-2015学年浙江宁波效实中学高三上学期期中理科数学试卷(解析版) 题型:选择题

已知正的顶点在平面上,顶点在平面的同一侧,的中点,若在平面上的射影是以为直角顶点的三角形,则直线与平面所成角的正弦值的范围是( )

A. B. C. D.

查看答案和解析>>

科目:高中数学 来源:2015-2016学年江苏省高一上期中考试数学试卷(解析版) 题型:填空题

已知集合,则

查看答案和解析>>

科目:高中数学 来源:2014-2015学年四川省高一下学期月考测文科数学试卷(解析版) 题型:填空题

ABC中,已知a= 3,cosC= ,则b=__ __.

查看答案和解析>>

科目:高中数学 来源:2014-2015学年浙江省嵊州市高一竞赛数学试卷(解析版) 题型:填空题

若关于的不等式的解集恰好是,则

查看答案和解析>>

科目:高中数学 来源:2014-2015学年浙江省嵊州市高二下期末检测文科数学B卷(解析版) 题型:填空题

已知平面向量,且,则

查看答案和解析>>

科目:高中数学 来源:2014-2015学年浙江省嵊州市高二下期末检测理科数学A卷(解析版) 题型:选择题

已知为非零向量,且,则下列命题正确的个数为

(1)若,则 (2)若,则

(3)若,则 (4)若,则

A. B. C. D.

查看答案和解析>>

科目:高中数学 来源:2014-2015学年湖北武汉一中等重点中学高一下学期期中理科数学试卷(解析版) 题型:选择题

若等差数列满足,则当的前n项和最大时n的值为( )

A.7 B.8 C.9 D.10

查看答案和解析>>

同步练习册答案