精英家教网 > 高中数学 > 题目详情
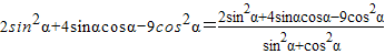
已知tanα=3,则2sin2α+4sinαcosα-9cos2α的值为( )
A.3
B.
C.
D.
【答案】分析:利用同角三角函数的基本关系把原式的分母“1”变为sin2α+cos2α,然后给分子分母求除以cos2α,把原式化为关于tanα的关系式,把tanα的值代入即可求出值.
解答:解:因为tanα=3,则
=
故选B
点评:此题是一道基础题,考查学生灵活运用同角三角函数间的基本关系化简求值的能力,做题的突破点是“1”的灵活变形.
练习册系列答案
相关习题

科目:高中数学 来源: 题型:

已知tanα=-3,则
1sin2a-2cos2a
=
 

查看答案和解析>>

科目:高中数学 来源: 题型:

已知tanα=3,则sinαcosα+cos2α的值为(  )

查看答案和解析>>

科目:高中数学 来源: 题型:

已知tanθ=3,则2sin2θ+2sinθcosθ-cos2θ=
23
10
23
10

查看答案和解析>>

科目:高中数学 来源: 题型:

已知tanα=3,则
3sinα+cosαsinα-2cosα
=
 

查看答案和解析>>

科目:高中数学 来源: 题型:

已知tanθ=3,则sin2θ+sinθcosθ-2cos2θ=(  )

查看答案和解析>>

同步练习册答案