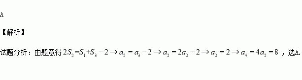
精英家教网 > 高中数学 > 题目详情

已知等比数列的公比为2,前项和为,且成等差数列,则( )

A.8 B. C.16 D.

练习册系列答案
相关习题

科目:高中数学 来源:2015-2016学年福建省高二下期中理科数学试卷(解析版) 题型:选择题

某产品的广告费用与销售额的统计数据如下表:

广告费用(万元)

4

2

3

5

销售额 (万元)

49

26

39

54

根据上表可得回归方程中的为9.4,据此模型预报广告费用为6万元时销售额为( )

A. 63.6万元 B.65.5万元 C.67.7万元 D.72.0万元

查看答案和解析>>

科目:高中数学 来源:2015-2016学年江西金溪一中高一下第二次月考理科数学卷(解析版) 题型:选择题

已知直线与圆交于两点,则( )

A. B. C. D.

查看答案和解析>>

科目:高中数学 来源:2016届陕西省高三下第六次模拟理科数学试卷(解析版) 题型:填空题

已知是抛物线的焦点,过作一直线交抛物线于两点,若,则直线与坐标轴围成的三角形的面积为______.

查看答案和解析>>

科目:高中数学 来源:2016届陕西省高三下第六次模拟理科数学试卷(解析版) 题型:选择题

的展开式的二项式系数最大的项只有第4项,则展开式中,的系数为( )

A.21 B. C.35 D.

查看答案和解析>>

科目:高中数学 来源:2015-2016学年福建省高二下期中文科数学试卷(解析版) 题型:解答题

选修4-4:极坐标与参数方程

在极坐标系下,已知圆O:和直线

(1)求圆O和直线l的直角坐标方程;

(2)当时,求直线l与圆O公共点的一个极坐标.

查看答案和解析>>

科目:高中数学 来源:2015-2016学年福建省高二下期中文科数学试卷(解析版) 题型:填空题

已知x,y之间的一组数据如下表:

x

2

3

4

5

6

y

3

4

6

8

9

对于表中数据,现给出如下拟合直线:①y=x+1;②y=2x-1;③y=x-;④y=x.

则根据最小二乘法的思想求得拟合程度最好的直线是 (填序号).

查看答案和解析>>

科目:高中数学 来源:2015-2016学年浙江金华、温州、台州三市部分学校高一下期中数学卷(解析版) 题型:解答题

中,为角所对的三边,已知

(1)求角的值;

(2)若,求的长.

查看答案和解析>>

科目:高中数学 来源:2015-2016学年湖北省孝感市六校联盟高一下期中理科数学试卷(解析版) 题型:选择题

如果a<b<0,那么下面一定成立的是( )

A.ac<bc B.a﹣b>0 C.a2>b2 D.

查看答案和解析>>

同步练习册答案