精英家教网 > 高中数学 > 题目详情

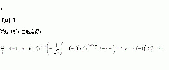
的展开式的二项式系数最大的项只有第4项,则展开式中,的系数为( )

A.21 B. C.35 D.

练习册系列答案
相关习题

科目:高中数学 来源:2015-2016学年福建省高二下期中理科数学试卷(解析版) 题型:选择题

某校数学学科中有4门选修课程,3名学生选课,若每个学生必须选其中2门,则每门课程都有学生选的不同的选课方法数为( )

A.88 B.102 C.114 D.118

查看答案和解析>>

科目:高中数学 来源:2015-2016学年江西金溪一中高一下第二次月考理科数学卷(解析版) 题型:填空题

满足约束条件,则的最大值为 .

查看答案和解析>>

科目:高中数学 来源:2016届陕西省高三下第六次模拟理科数学试卷(解析版) 题型:解答题

设函数,其中为正实数.

(Ⅰ)若上是单调减函数,且上有最小值,求的取值范围;

(Ⅱ)若函数都没有零点,求的取值范围.

查看答案和解析>>

科目:高中数学 来源:2016届陕西省高三下第六次模拟理科数学试卷(解析版) 题型:填空题

已知数列是公差为整数的等差数列,前项和为,且成等比数列,则数列的前10项和为______.

查看答案和解析>>

科目:高中数学 来源:2016届陕西省高三下第六次模拟理科数学试卷(解析版) 题型:选择题

已知等比数列的公比为2,前项和为,且成等差数列,则( )

A.8 B. C.16 D.

查看答案和解析>>

科目:高中数学 来源:2015-2016学年福建省高二下期中文科数学试卷(解析版) 题型:解答题

已知函数在x=1处有极值10.

(1)求a、b的值;

(2)求的单调区间;

(3)求在[0,4]上的最大值与最小值.

查看答案和解析>>

科目:高中数学 来源:2015-2016学年福建省高二下期中文科数学试卷(解析版) 题型:选择题

”是“直线与直线垂直”的( )

A.充要条件

B.必要不充分条件

C.充分不必要条件

D.既不充分也不必要条件

查看答案和解析>>

科目:高中数学 来源:2015-2016学年湖北省孝感市六校联盟高一下期中理科数学试卷(解析版) 题型:选择题

在△ABC中,若, 则B等于( )

A. B、 C、 D、

查看答案和解析>>

同步练习册答案