精英家教网 > 高中数学 > 题目详情
正四面体ABCD中,AB与平面BCD所成角的正弦值为( )
A.
B.
C.
D.
【答案】分析:在正四面体ABCD中,过A作AH⊥平面BCD于点H,则H为底面正三角形BCD的外心,连接BH,则∠ABH=α,就是AB与平面BCD所成角,解直角三角形ABH即可.
解答:解:正四面体ABCD,高为AH,
则H为底面正三角形BCD的外心,则∠ABH=α,就是AB与平面BCD所成角,
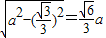
在Rt△ABH中,设棱长为a,
则BH=a=a,AH=
∴sinα===
故选A.
点评:考查直线和平面所成的角,关键是找到斜线在平面内的射影,把空间角转化为平面角求解,属基础题.
练习册系列答案
相关习题

科目:高中数学 来源: 题型:

在的棱长为1的正四面体ABCD中,E是BC的中点,则
AE
CD
=(  )
A、0
B、
1
2
C、-
1
2
D、-
1
4

查看答案和解析>>

科目:高中数学 来源: 题型:

精英家教网在棱长为1的正四面体ABCD中,E是BC的中点,则
AE
CD
=
 

查看答案和解析>>

科目:高中数学 来源: 题型:

4、求证:正四面体ABCD中相对的两棱(即异面的两棱)互相垂直.

查看答案和解析>>

科目:高中数学 来源: 题型:

某同学使用类比推理得到如下结论:
(1)同一平面内,三条不同的直线a,b,c,若a⊥c,b⊥c,则a∥b,类比出:空间中,三条不同的直线a,b,c,若a⊥c,b⊥c,则a∥b;
(2)a,b∈R,a-b>0则a>b,类比出:a,b∈C,a-b>0则a>b;
(3)以点(0,0)为圆心,r为半径的圆的方程是x2+y2=r2,类比出:以点(0,0,0)为球心,r为半径的球的方程是x2+y2+z2=r2
(4)正三角形ABC中,M是BC的中点,O是△ABC外接圆的圆心,则
AO
OM
=2
,类比出:在正四面体ABCD中,若M是△BCD的三边中线的交点,O为四面体ABCD外接球的球心,则
AO
OM
=3

其中类比的结论正确的个数是(  )

查看答案和解析>>

科目:高中数学 来源: 题型:

在正四面体ABCD中,E、F分别为棱AD、BC的中点,连接AF、CE,则异面直线AF和CE所成角的正弦值为(  )
A、
1
3
B、
2
3
C、
2
4
D、
5
3

查看答案和解析>>

同步练习册答案