精英家教网 > 高中数学 > 题目详情

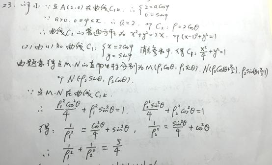
  平面直角坐标系以原点O为极点,轴的正半轴为极轴建立极坐标系,曲线的极坐标方程为.

 (1)求曲线的普通方程.

 (2)已知点,求的值.

练习册系列答案
相关习题

科目:高中数学 来源: 题型:


已知>b>0, >0 ,求证

查看答案和解析>>

科目:高中数学 来源: 题型:


化简(7分)

查看答案和解析>>

科目:高中数学 来源: 题型:


查看答案和解析>>

科目:高中数学 来源: 题型:


某校对数学、物理两科进行学业水平考前辅导,辅导后进行测试,按成绩(满分100分)划分为合格(成绩大于或等于70分)和不合格(成绩小于70分).现随机抽取两科各100名学生的成绩统计如下:

成绩(单位:分)

[50,60)

[60,70)

[70,80)

[80,90)

[90,100]

数学

8

12

40

32

8

物理

7

18

40

29

6

(1)试分别估计该校学生数学、物理合格的概率;

(2)数学合格一人可以赢得4小时机器人操作时间,不合格一人则减少1小时机器人操作                   

时间;物理合格一人可赢得5小时机器人操作时间,不合格一人则减少2小时机器人操作时间.在(1)的前提下,

 (i)记X为数学一人和物理一人所赢得的机器人操作时间(单位:小时)总和,求随机变量X 的分布列和数学期望;

  (ii)随机抽取5名学生,求这5名学生物理考前辅导后进行测试所赢得的机器人操作时间不少于14小时的概率.

查看答案和解析>>

科目:高中数学 来源: 题型:


 一个物体的位移(米)和与时间(秒)的关系为,则该物体在4秒末的瞬时速度是

A.8米/秒            B.8米/秒          C.6米/秒           D.12米/秒

查看答案和解析>>

科目:高中数学 来源: 题型:


 已知集合A={x|lg(x-2)≥0},B={x|x≥2},全集U=R,则(CUA)∩B=

A. {x|-1<x≤3}         B. {x|2≤x﹤3}           C. {x|x=3}     D.

查看答案和解析>>

科目:高中数学 来源: 题型:


学校为测评班级学生对任课教师的满意度,采用“100分制”打分的方式来计分.现从某班学生中随机抽取10名,以下茎叶图记录了他们对某教师的满意度分数(以十位数字为茎,个位数字为叶):

规定若满意度不低于98分,测评价该教师为“优秀”.

(I)求从这10人中随机选取3人,至多有1人评价该教师是“优秀”的概率;

(II)以这10人的样本数据来估计整个班级的总体数据,若从该班任选3人,记表示抽到评价该教师为“优秀”的人数,求的分布列.

 


查看答案和解析>>

同步练习册答案