精英家教网 > 高中数学 > 题目详情

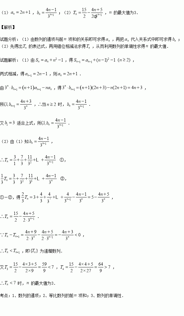
已知数列的前项和,数列满足

(1)求

(2)设为数列的前项和,求,并求满足的最大值.

练习册系列答案
相关习题

科目:高中数学 来源:2015-2016学年内蒙古包头市高一上期中数学试卷(解析版) 题型:解答题

已知函数上的奇函数,当时,

(1)当时,求函数的解析式;

(2)证明函数在区间上是单调增函数.

查看答案和解析>>

科目:高中数学 来源:2015-2016学年河北省、永年二中高二上期中文科数学试卷(解析版) 题型:选择题

下列四个结论,其中正确结论的个数是( )

①命题“”的否定是“”;

②命题“若”的逆否命题为“若”;

③“命题为真”是“命题为真”的充分不必要条件;

④若,则恒成立.

A.1个 B.2个 C.3个 D.4个

查看答案和解析>>

科目:高中数学 来源:2015-2016年湖南省高一上学期期中考试数学试卷(解析版) 题型:选择题

已知函数 ,则( )

A. B. C. D.

查看答案和解析>>

科目:高中数学 来源:2015-2016学年湖南省、攸县一中高二上期中文科数学试卷(解析版) 题型:选择题

不等式表示的平面区域(用阴影表示)是( )

查看答案和解析>>

科目:高中数学 来源:2016届山东师大附中高三上学期第三次模拟理科数学试卷(解析版) 题型:解答题

如图,在四棱锥中,

(1)求证:平面平面

(2)求直线与平面所成角的正弦值.

查看答案和解析>>

科目:高中数学 来源:2015-2016学年辽宁省分校高一12月月考数学卷(解析版) 题型:填空题

下列四个正方体图形中,为正方体的两个顶点,分别为其所在棱中点,能得出平面的图形的序号是

查看答案和解析>>

科目:高中数学 来源:2016届重庆市高三12月月考理科数学试卷(解析版) 题型:解答题

已知椭圆的离心率为,左.右焦点分别是,点为椭圆上任意一点,且面积最大值为

(1)求椭圆的方程;

(2)过作垂直于轴的直线交椭圆于两点(点在第一象限),是椭圆上位于直线两侧的动点,若,求证:直线的斜率为定值.

查看答案和解析>>

科目:高中数学 来源:2015-2016学年河南省高二上期中文科数学试卷(解析版) 题型:解答题

(1)求的解集;

(2)若不等式对任意实数恒成立,求实数x的取值范围.

查看答案和解析>>

同步练习册答案