精英家教网 > 高中数学 > 题目详情
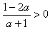
设集合M=
(1)若a=1,求M;
(2)若,求a的取值范围;
(3)若,求a的取值范围。
解:(1)


(2)


(3)若,则,即

练习册系列答案
相关习题

科目:高中数学 来源:2002年全国各省市高考模拟试题汇编 题型:013

设集合M{x|-1≤x<2}N={x|x≤α}.若,则a的取值范围是

[  ]

A.(-∞,2]
B.(-1,+∞)
C.[-1,+∞)
D.[-1,1]

查看答案和解析>>

科目:高中数学 来源: 题型:解答题

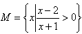
设集合M=数学公式
(1) 若a=1求M;
(2) 若1∈M,求a的取值范围;
(3) 若2∉M,求a的取值范围..

查看答案和解析>>

科目:高中数学 来源: 题型:

设集合M={x|x-1≥0},N={x||x|<2},若U=R,则(M)∩N等于

A.(-2,1]                                   B.(-2,1)

C.(-∞,-1)∪[2,+∞)                 D.(-∞,2)

查看答案和解析>>

科目:高中数学 来源:2008-2009学年江苏省泰州市实验中学高一(下)期中数学试卷(解析版) 题型:解答题

设集合M=
(1) 若a=1求M;
(2) 若1∈M,求a的取值范围;
(3) 若2∉M,求a的取值范围..

查看答案和解析>>

同步练习册答案