精英家教网 > 高中数学 > 题目详情
如图所示,四棱锥P-ABCD中,底面ABCD为正方形,PD⊥平面ABCD,PD=AB=2,E、F、G分别为PC、PD、BC的中点,
(1)求证:PA∥平面EFG;
(2)求三棱锥P-EFC的体积.
(1)怎么:如图,取AD的中点H,连接GH,FH,
∵E,F分别为PC,PD的中点,
∴EF∥CD,
∵G,H分别是BC,AD的中点,
∴GH∥CD,
∴EF∥CH,∴E,F,H,G四点共面,
∵F、H分别为DP,DA的中点,
∴PA∥FH,
∵PA面EFG,FH面EFG,
∴PA∥面EFG。
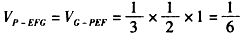
(2)解:由题意易得GC⊥面PCD,
∴三棱锥P-EFG可以GC为高,△PEF为底,



练习册系列答案
相关习题

科目:高中数学 来源: 题型:

精英家教网如图所示,四棱锥P-ABCD的底面为直角梯形,∠ADC=∠DCB=90°,AD=1,BC=3,PC=CD=2,PC⊥底面ABCD,E为AB的中点.
(Ⅰ)求证:平面PDE⊥平面PAC;
(Ⅱ)求二面角C-PD-E的大小;
(Ⅲ)求点B到平面PDE的距离.

查看答案和解析>>

科目:高中数学 来源: 题型:

精英家教网如图所示,四棱锥P-ABCD的底面是一个矩形,AB=3.AD=1.又PA⊥AB,PA=4,
∠PAD=60°.求:
(1)四棱锥P-ABCD的体积.
(2)二面角P-BC-D的正切值.

查看答案和解析>>

科目:高中数学 来源: 题型:

精英家教网如图所示,四棱锥P-ABCD的底面ABCD是半径为R的圆的内接四边形,其中BD是圆的直径,∠ABD=60°,∠BDC=45°,△ADP~△BAD.
(1)求线段PD的长;
(2)若PC=
11
R
,求三棱锥P-ABC的体积.

查看答案和解析>>

科目:高中数学 来源: 题型:

(2012•烟台一模)如图所示,四棱锥P-ABCD中,ABCD为正方形,PA⊥AD,E,F,G分别是线段PA,PD,CD的中点.
求证:
(1)BC∥平面EFG;
(2)平面EFG⊥平面PAB.

查看答案和解析>>

科目:高中数学 来源: 题型:

如图所示,四棱锥P-ABCD底面是直角梯形,BA⊥AD,CD⊥AD,CD=2AB,PA⊥底面ABCD,E为PC的中点,PA=AD=AB=1.
(1)证明:EB∥平面PAD;
(2)证明:BE⊥平面PDC;
(3)求三棱锥B-PDC的体积V.

查看答案和解析>>

同步练习册答案