精英家教网 > 高中数学 > 题目详情

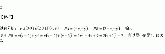
已知是圆的直径,点为直线上任意一点,则的最小值是( )

A. B. C. D.

练习册系列答案
相关习题

科目:高中数学 来源:2016届江西省高三毕业班新课程教学质监数学(文)试卷(解析版) 题型:填空题

已知双曲线的一个焦点在圆上,则双曲线的渐近线方程为 .

查看答案和解析>>

科目:高中数学 来源:2015-2016学年辽宁庄河市高一下期末数学文试卷(解析版) 题型:解答题

已知函数

(Ⅰ)求函数的最小值;

(Ⅱ)若,求的值.

查看答案和解析>>

科目:高中数学 来源:2015-2016学年辽宁庄河市高一下期末数学理试卷(解析版) 题型:解答题

函数满足:

(1)

(2)在区间内有最大值无最小值,

(3)在区间内有最小值无最大值,

(4)经过

(1)求的解析式;

(2)若,求值;

(3)不等式的解集不为空集,求实数的范围.

查看答案和解析>>

科目:高中数学 来源:2015-2016学年辽宁庄河市高一下期末数学理试卷(解析版) 题型:填空题

锐角三角形满足,则的取值范围为_________

查看答案和解析>>

科目:高中数学 来源:2015-2016学年辽宁庄河市高一下期末数学理试卷(解析版) 题型:选择题

已知,则的值为( )

A. B. C. D.

查看答案和解析>>

科目:高中数学 来源:2015-2016学年河北定州中学高二下学期期末数学试卷(解析版) 题型:解答题

已知函数,且的解集为

(1)求的值;

(2)若,且,求证:

查看答案和解析>>

科目:高中数学 来源:2015-2016学年河北定州中学高二下学期期末数学试卷(解析版) 题型:选择题

已知,则“”是“成立”的( )

A.充分不必要条件 B.必要不充分条件

C.充分必要条件 D.既不充分也不必要条件

查看答案和解析>>

科目:高中数学 来源:2015-2016学年浙江宁波市九校高一下学期期末数学试卷(解析版) 题型:选择题

已知关于的二次方程在区间内有两个实根,若,则实数的最小值为( )

A.1 B. C. D.

查看答案和解析>>

同步练习册答案