精英家教网 > 高中数学 > 题目详情

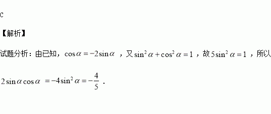
已知向量,且,则等于( )

A. B.-3 C.3 D.

练习册系列答案
相关习题

科目:高中数学 来源:2015-2016学年贵州黔南州高一下学期期末数学试卷(解析版) 题型:选择题

若实数x,y满足,则z=x+2y的最大值为( )

A、0 B、1 C、 D、2

查看答案和解析>>

科目:高中数学 来源:2015-2016学年广东汕头市高一下学期期末数学试卷(解析版) 题型:选择题

已知,用表示不小于的最小整数,如,若,则的取值范围是( )

A. B. C. D.

查看答案和解析>>

科目:高中数学 来源:2016届陕西黄陵中学高三下二模考试数学(理)试卷(解析版) 题型:解答题

某学校研究性学习小组对该校高三学生视力情况进行调查,在高三的全体1000名学生中随机抽取了若干名学生的体检表,并得到 如下直方图:

(Ⅰ)若直方图中前三组的频率成等比数列,后四组的频率成等差数列,试估计全年级视力在5.0以下的人数;

(Ⅱ)学习小组成员发现,学习成绩突出的学生,近视的比较多,为了研究学生的视力与学习成绩是否有关系,对年纪名次在1~50名和951~1000名的学生进行了调查,得到如下数据:

根据表中的数据,能否在犯错的概率不超过0.05的前提下认为视力与学习成绩有关系?

(Ⅲ)在(Ⅱ)中调查的100名学生中,在不近视的学生中按照成绩是否在前50名分层抽样抽取了9人,

进一步调查他们良好的护眼习惯,并且在这9人中任取3人,记名次在1~50名的学生人数为,求

的分布列和数学期望.

附:

查看答案和解析>>

科目:高中数学 来源:2016届陕西黄陵中学高三下二模考试数学(理)试卷(解析版) 题型:选择题

有两个零点,则实数的取值范围是( )

A. B. C. D.

查看答案和解析>>

科目:高中数学 来源:2016届陕西黄陵中学高三下二模考试数学(理)试卷(解析版) 题型:选择题

设集合,则( )

A. B. C. D.

查看答案和解析>>

科目:高中数学 来源:2017届河南新乡一中高三上学期周考9.18数学(文)试卷(解析版) 题型:选择题

设集合,若,则的取值范围是( )

A. B.

C. D.

查看答案和解析>>

科目:高中数学 来源:2017届甘肃武威二中高三上学期月考二数学(文)试卷(解析版) 题型:选择题

已知,则实数的大小关系为( )

A. B.

C. D.

查看答案和解析>>

科目:高中数学 来源:2016届浙江稽阳联谊学校高三4月联考数学(理)试卷(解析版) 题型:选择题

已知实数满足:,则的最小值为( )

A.82 B.4 C. D.

查看答案和解析>>

同步练习册答案