精英家教网 > 高中数学 > 题目详情

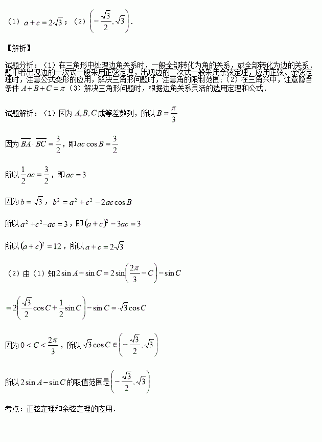
(本题满分12分) 在中,已知角的对边分别为,且成等差数列.

(1)若,求的值;

(2)求的取值范围.

练习册系列答案
相关习题

科目:高中数学 来源:2014-2015学年湖南省高三5月模拟考试理科数学试卷(解析版) 题型:解答题

(本小题满分12分)如图,在四棱锥中,平面,且,点上.

(1)求证:;

(2)若二面角的大小为,求与平面所成角的正弦值.

查看答案和解析>>

科目:高中数学 来源:2014-2015学年湖北省襄阳市高三5月模拟考试一理科数学试卷(解析版) 题型:解答题

(本小题满分14分)设函数,其中是实数,曲线恒与轴相切于坐标原点.

(1)求常数的值;

(2)当时,关于的不等式恒成立,求实数的取值范围;

(3)求证:

查看答案和解析>>

科目:高中数学 来源:2014-2015学年湖北省襄阳市高三5月模拟考试一理科数学试卷(解析版) 题型:选择题

已知向量.若向量满足,则().

A. B. C. D.

查看答案和解析>>

科目:高中数学 来源:2014-2015学年黑龙江省高三第三次高考模拟文科数学试卷(解析版) 题型:填空题

(本题满分10分)选修4-1:几何证明选讲.

如图,圆周角的平分线与圆交于点,过点的切线与弦的延长线交于点,于点

(1)求证:;

(2)若四点共圆,且弧与弧相等,求

查看答案和解析>>

科目:高中数学 来源:2014-2015学年黑龙江省高三第三次高考模拟文科数学试卷(解析版) 题型:选择题

已知函数,对,使得,则的最小值为

A. B. C. D.

查看答案和解析>>

科目:高中数学 来源:2014-2015学年黑龙江省高三第三次高考模拟文科数学试卷(解析版) 题型:选择题

如图所示,程序框图的功能是

A.求{}前10项和 B.求{}前10项和

C.求{}前11项和 D.求{}前11项和

查看答案和解析>>

科目:高中数学 来源:2014-2015学年黑龙江省高三第三次高考模拟理科数学试卷(解析版) 题型:选择题

已知函数,对,使得

,则的最小值为

A . B. C. D.

查看答案和解析>>

科目:高中数学 来源:2014-2015学年湖北省高二下学期期中考试文科数学试卷(解析版) 题型:填空题

已知x,y是正实数,且,则xy的最大值为

查看答案和解析>>

同步练习册答案