精英家教网 > 高中数学 > 题目详情

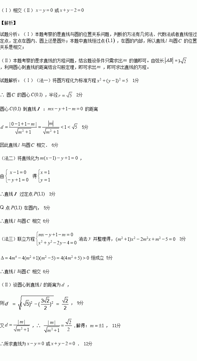
(本小题满分12分)已知圆:,直线

(Ⅰ)判断直线与圆的位置关系。

(Ⅱ)若直线与圆交于不同两点,且=3,求直线的方程。

练习册系列答案
相关习题

科目:高中数学 来源:2015-2016学年广东省普宁市高二上期中文科数学试卷(解析版) 题型:选择题

”是“”的( )

A.充分而不必要条件 B.必要而不充分条件

C.充分必要条件 D.既不充分也不必要条件

查看答案和解析>>

科目:高中数学 来源:2016届辽宁省抚顺市高三上学期第一次模拟文科数学试卷(解析版) 题型:解答题

(本小题满分12分)已知函数

(Ⅰ)讨论的单调性;

(Ⅱ)当有最大值,且最大值大于时,求的取值范围.

查看答案和解析>>

科目:高中数学 来源:2016届贵州省贵阳市高三上学期第三次月考文科数学试卷(解析版) 题型:解答题

(本小题满分12分)已知函数

(Ⅰ)函数在点处的切线与直线平行,求函数的单调区间;

(Ⅱ)设函数的导函数为,对任意的,若恒成立,求的取值范围.

查看答案和解析>>

科目:高中数学 来源:2016届福建省高三上学期期中理科数学试卷(解析版) 题型:填空题

函数的图象向右平移个单位后,与函数的图象重合,则

查看答案和解析>>

科目:高中数学 来源:2015-2016学年江西南昌二中高二上学期期中理科数学试卷(解析版) 题型:解答题

(本小题满分12分)已知直线,双曲线

①若直线与双曲线的其中一条渐近线平行,求双曲线的离心率;②若直线过双曲线的右焦点,与双曲线交于两点,且,求双曲线方程.

查看答案和解析>>

科目:高中数学 来源:2015-2016学年吉林省高一上学期期中数学试卷(解析版) 题型:解答题

(本小题10分)已知

(Ⅰ)若,求的取值范围;

(Ⅱ)若,求的取值范围.

查看答案和解析>>

科目:高中数学 来源:2015-2016学年吉林实验中学高二上学期期中文科数学试卷(解析版) 题型:选择题

若“,则”为原命题,则它的逆命题、否命题与逆否命题中真命题的个数是

A.1 B.2 C.3 D.0

查看答案和解析>>

科目:高中数学 来源:2016届北京市海淀区高三上学期期中考试文科数学试卷(解析版) 题型:填空题

若角的终边过点(1,-2),则=_____.

查看答案和解析>>

同步练习册答案