精英家教网 > 高中数学 > 题目详情

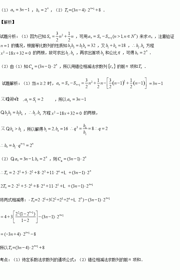
(本小题满分12分)已知等差数列的前项和为,且.递增的等比数列满足:

(1)求数列的通项公式;

(2)若,求数列的前项和

练习册系列答案
相关习题

科目:高中数学 来源:2015-2016学年河南省高一上期第一次月考数学试卷(解析版) 题型:填空题

若不等式对任意恒成立,则的取值范围是

查看答案和解析>>

科目:高中数学 来源:2015-2016学年河北邯郸曲周县一中高二上学期第二次月考理科数学卷(解析版) 题型:选择题

命题“”的否定是( )

A. B.

C. D.

查看答案和解析>>

科目:高中数学 来源:2015-2016学年辽宁沈阳东北育才学校高二上学期第一次作业数学试卷(解析版) 题型:选择题

已知向量,满足,的夹角为,则的值为( )

A.1 B. C. D.

查看答案和解析>>

科目:高中数学 来源:2015-2016学年湖南省长沙市推荐高二上学期开学分班数学试卷(解析版) 题型:解答题

(本小题满分13分)设关于的一元二次方程)有两根,且满足

(1)试用表示

(2)求证:数列是等比数列;

(3)当时,求数列的通项公式,并求数列的前项和

查看答案和解析>>

科目:高中数学 来源:2014-2015学年江西省赣州市高一下学期期末考试数学试卷(解析版) 题型:选择题

在等比数列中,若,则

A. B. C. D.

查看答案和解析>>

科目:高中数学 来源:2016届江西省名校学术联盟高三第一次调研一理科数学试卷(解析版) 题型:解答题

已知数列是等比数列,且,则

查看答案和解析>>

科目:高中数学 来源:2016届吉林省长春市高三质量监测理科数学试卷(解析版) 题型:填空题

的展开式中常数项是___________.

查看答案和解析>>

科目:高中数学 来源:2014-2015学年江苏省南通市高二下学期期末文科数学试卷(解析版) 题型:填空题

在等比数列中,,则

查看答案和解析>>

同步练习册答案