精英家教网 > 高中数学 > 题目详情
(选做题)
已知函数f(x)=|x﹣1|+|2x+2|
(1)解不等式f(x)<3;  
(2)若不等式f(x)<a的解集为空集,求实数a的取值范围.
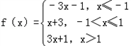
解:(1)∵
故由f(x)<3可得①或 ② 或③
解①可得 ,解②得﹣1<x<0,解③得x∈
综上可得,不等式的解集为 {x| }.
(2)由f(x)的图象可得f(x)≥2,
∴当不等式f(x)<a的解集为空集时,
∴a≤2,即实数a的取值范围(﹣∞,2].
练习册系列答案
相关习题

科目:高中数学 来源: 题型:

(选做题)已知函数f(x)=|x+1|,
(1)解不等式f(x)≥2x+1;
(2)?x∈R,使不等式f(x-2)-f(x+6)<m成立,求m的取值范围.

查看答案和解析>>

科目:高中数学 来源: 题型:

(选做题)已知函数f(x)=|2x-1|+2,g(x)=-|x+2|+3.
(Ⅰ)解不等式:g(x)≥-2;
(Ⅱ)当x∈R时,f(x)-g(x)≥m+2恒成立,求实数m的取值范围.

查看答案和解析>>

科目:高中数学 来源: 题型:

(选做题)已知函数f(x)=|x-a|.不等式f(x)≤3的解集为{x|-1≤x≤5}.
(1)求实数a的值;
(2)若f(x)+f(x+5)≥c2-4c对一切实数x恒成立,求实数c的取值范围.

查看答案和解析>>

科目:高中数学 来源: 题型:

(2012•开封一模)(选做题)已知函数f(x)=|x-a|.
(Ⅰ)若不等式f(x)≥3的解集为{x|x≤1或x≥5},求实数a的值;
(Ⅱ)在(Ⅰ)的条件下,若f(x)+f(x+4)≥m对一切实数x恒成立,求实数m的取值范围.

查看答案和解析>>

科目:高中数学 来源: 题型:

(不等式选做题)已知函数f(x)=|2x+1|,g(x)=|x|+a.若存在x∈R,使得f(x)≤g(x)成立,则实数a的取值范围为
[-
1
2
,+∞].
[-
1
2
,+∞].

查看答案和解析>>

同步练习册答案