精英家教网 > 高中数学 > 题目详情

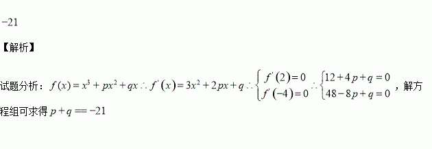
是函数的两个极值点,则_____

练习册系列答案
相关习题

科目:高中数学 来源:2015-2016学年内蒙古高二下第一次月考文科数学卷(解析版) 题型:解答题

已知函数为常数,e=2.71828…,曲线在点处的切线与x轴平行.

(Ⅰ)求k的值;

(Ⅱ)求的单调区间;

查看答案和解析>>

科目:高中数学 来源:2015-2016学年内蒙古高二下第一次月考理科数学卷(解析版) 题型:选择题

函数的导数是( )

A. B. C. D.

查看答案和解析>>

科目:高中数学 来源:2015-2016学年江西省高二3月月考文科数学试卷(解析版) 题型:选择题

中,角所对边分别为,若是钝角三角形,则的( )条件

(A)充分非必要 (B)必要非充分 (C)充要条件 (D)既不充分也不必要

查看答案和解析>>

科目:高中数学 来源:2015-2016学年四川省雅安市高二下期中文科数学试卷(解析版) 题型:解答题

设函数的极大值为,极小值为,求:

(Ⅰ)实数的值;

(Ⅱ)在区间上的最大值和最小值.

查看答案和解析>>

科目:高中数学 来源:2015-2016学年四川省雅安市高二下期中文科数学试卷(解析版) 题型:选择题

,且,则( )

(A) (B) (C) (D)

查看答案和解析>>

科目:高中数学 来源:2015-2016学年四川省雅安市高二下期中文科数学试卷(解析版) 题型:选择题

在复平面内,复数对应的点位于( )

(A)第一象限 (B)第二象限 (C)第三象限 (D)第四象限

查看答案和解析>>

科目:高中数学 来源:2015-2016学年安徽省高二下学期第一次检测文科数学试卷(解析版) 题型:选择题

双曲线与椭圆的离心率互为倒数,则( )

A. B. C. D.

查看答案和解析>>

科目:高中数学 来源:2015-2016学年广东省东莞市南开实验高二下期初考试文科数学试卷(解析版) 题型:选择题

以下是解决数学问题的思维过程的流程图:

在此流程图中,①、②两条流程线与“推理与证明”中的思维方法匹配正确的是( )

A.①—综合法,②—分析法 B.①—分析法,②—综合法

C.①—综合法,②—反证法 D.①—分析法,②—反证法

查看答案和解析>>

同步练习册答案