精英家教网 > 高中数学 > 题目详情

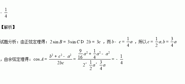
中,内角所对的边分别是.已知,则的值为_______.

练习册系列答案
相关习题

科目:高中数学 来源:2016届黑龙江省高三12月月考理科数学试卷(解析版) 题型:选择题

已知定义域为的奇函数的导函数为,当时,,若,则的大小关系正确的是( )

A. B. C. D.

查看答案和解析>>

科目:高中数学 来源:2015-2016学年浙江省温州市十校联合体高一上学期期中考试数学试卷(解析版) 题型:填空题

表示不超过的最大整数,定义函数.则下列结论中正确的有

①函数的值域为

②方程有无数个解

③函数的图像是一条直线

④函数上的增函数

查看答案和解析>>

科目:高中数学 来源:2014-2015学年贵州省高二上学期半期考试理科数学试卷(解析版) 题型:选择题

过双曲线的右顶点A作斜率为的直线,该直线与双曲线的两条渐近线的交点分别为B, C.若,则双曲线的离心率是( )

A. B. C. D.

查看答案和解析>>

科目:高中数学 来源:2015-2016年湖北武汉华中师大一附高二上期中文科数学卷(解析版) 题型:选择题

直线R)与椭圆恒有公共点,则的取值范围是( )

A.(0,1) B.(0,5) C. D.

查看答案和解析>>

科目:高中数学 来源:2016上海复旦大学附中届高三上期中理科数学试卷(解析版) 题型:填空题

已知是定义在上且周期为3的函数,当时,

若函数在区间上有10个零点(互不相同),则实数的取值范围是 .

查看答案和解析>>

科目:高中数学 来源:2016届河北省高三上学期四调文科数学试卷(解析版) 题型:选择题

若函数的导函数为,且,则上的单调增区间为( )

A. B. C. D.

查看答案和解析>>

科目:高中数学 来源:2015-2016学年吉林省高二11月月考理科数学卷(解析版) 题型:选择题

是椭圆的两焦点,过的直线交椭圆于两点,若

( )

A.2 B.12 C.18 D.96

查看答案和解析>>

科目:高中数学 来源:2016届湖北武汉华中师大一附等高三上第一次联考文数学卷(解析版) 题型:选择题

在等腰中,( )

A. B. C. D.

查看答案和解析>>

同步练习册答案