精英家教网 > 高中数学 > 题目详情

已知函数.

(Ⅰ)请用“五点法”画出函数在长度为一个周期的闭区间上的简图(先在所给的表格中填上所需的数值,再画图);

(Ⅱ)求函数的单调递增区间;

(Ⅲ)当时,求函数的最大值和最小值及相应的的值.

 

【答案】

(I)过程见解析;(Ⅱ);(Ⅲ)当x=0时,函数取得最小值;当x=时,函数取得最大值1.

【解析】

试题分析:(I)画三角函数图象的方法是五点法,具体步骤是1.列表,标出一个周期内与x轴的交点和最大值点与最小值点;2.描点,将列出的5个点画在平面直角坐标系中;3.连线,用平滑的曲线连接5点;由题,列表如下,描点连线; (Ⅱ)三角函数sinx在[-,]上递增,在[,]上递减,由题,令,可解得,故函数f(x)在递增;(Ⅲ)由x的范围可以得到2x-的范围,再由(Ⅱ)中函数的增减性可以求得最大值和最小值.

试题解析:(I)令,则.填表:

 

(Ⅱ)令,

解得,

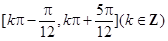
∴函数的单调增区间为.

(Ⅲ)∵

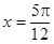
∴当,即时,取得最小值

,即时,取得最大值1.

考点:1.五点法作函数y=Asin(ωx+φ)的图象;2.三角函数的单调区间;3.三角函数的最值.

 

练习册系列答案
相关习题

科目:高中数学 来源: 题型:解答题

已知函数数学公式
(1)请写出(不必证明)函数f(x)的定义域,奇偶性,单调性,值域,并画出图象;
(2)设任意的x1>0,x2>0,试猜测数学公式数学公式的大小关系,并证明你的结论.

查看答案和解析>>

科目:高中数学 来源:2012-2013学年福建省福州市罗源一中高二(下)5月月考数学试卷(文科)(解析版) 题型:解答题

已知函数f(x)=请用定义证明f(x)在(-∞,+∞)上为减函数.

查看答案和解析>>

科目:高中数学 来源: 题型:解答题

已知函数数学公式
(1)请在直角坐标系中画出函数f(x)的图象,并写出该函数的单调区间;
(2)若函数g(x)=f(x)-m恰有3个不同零点,求实数m的取值范围.

查看答案和解析>>

科目:高中数学 来源:2012-2013学年湖南师大附中高一(上)期中数学试卷(解析版) 题型:解答题

已知函数
(1)请在直角坐标系中画出函数f(x)的图象,并写出该函数的单调区间;
(2)若函数g(x)=f(x)-m恰有3个不同零点,求实数m的取值范围.

查看答案和解析>>

科目:高中数学 来源:2010-2011学年云南省曲靖市陆良联中高一(上)数学周末练习(2)(解析版) 题型:解答题

已知函数
(1)请画出函数图象;
(2)根据图象写出函数单调递增区间和最小值.

查看答案和解析>>

同步练习册答案