精英家教网 > 高中数学 > 题目详情
设集合W是满足下列两个条件的无穷数列{an}的集合:①对任意n∈N*,恒成立;②对任意n∈N*,存在与n无关的常数M,使an≤M恒成立,
(1)若{an}是等差数列,Sn是其前n项和,且a3=4,S3=18,试探究数列{Sn}与集合W之间的关系;
(2)设数列{bn}的通项公式为bn=5n-2n,且{bn}∈W,求M的取值范围。
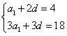
解:(1)设等差数列{an}的公差是d,则,解得


,适合条件①,

∴当n=4或n=5时,Sn取得最大值20,即Sn≤20,适合条件②,
综上,{Sn}∈W。
(2)
∴当n≥3时,,此时数列{bn}单调递减,
当n=1,2时,,即b1<b2<b3,因此数列{bn}中的最大项是b3=7,
∴M≥7,即M的取值范围是[7,+∞)。
练习册系列答案
相关习题

科目:高中数学 来源: 题型:

设集合W是满足下列两个条件的无穷数列{an}的集合:①
an+an+22
an+1
;②an≤M,其中n∈N*,M是与n无关的常数.
(1)若{an}是等差数列,Sn是其前n项的和,a3=4,S3=18,证明:{Sn}∈W
(2)设数列{bn}的通项为bn=5n-2n,且{bn}∈W,求M的取值范围;
(3)设数列{cn}的各项均为正整数,且{cn}∈W,证明:cn<cn+1

查看答案和解析>>

科目:高中数学 来源: 题型:

设集合W是满足下列两个条件的无穷数列{an}的集合:①对任意n∈N+
an+an+22
≤an+1,恒成立;②对任意n∈N+,存在与n无关的常数M,使an≤M恒成立.
(Ⅰ)若{an}是等差数列,Sn是其前n项的和,且a3=4,S3=18,试探究数列{Sn}与集合W之间的关系;
(Ⅱ)设数列{bn}的通项公式为bn=5n-2n,且{bn}∈W,求M的取值范围.

查看答案和解析>>

科目:高中数学 来源: 题型:

设集合W是满足下列两个条件的无穷数列{an}的集合:①
an+an+22
≤an+1,②an≤M.其中n∈N+,M是与n无关的常数.
(1)设数列{bn}的通项为bn=5n-2n,证明:{bn}∈W;
(2)若{an}是等差数列,Sn是其前n项的和,a4=2,S4=20,证明:{Sn}∈W并求M的取值范围.

查看答案和解析>>

科目:高中数学 来源: 题型:

(2012•莆田模拟)设集合W是满足下列两个条件的无穷数列{an}的集合:①
an+an+2
2
an+1
;②an≤M,其中n∈N*,M是与n无关的常数.现给出下列的四个无穷数列:(1)an=2n-n2;(2)an=3n-2n;(3)an=2n;(4)an=3-(
1
3
)n
,写出上述所有属于集合W的序号
(1)(4)
(1)(4)

查看答案和解析>>

科目:高中数学 来源: 题型:

设集合W是满足下列两个条件的无穷数列{an}的集合:①
an+an+2
2
an+1
②an≤M,其中n∈N*,M是与n无关的常数
(1)若{an}是等差数列,Sn是其前n项的和,a3=4,S3=18,试探究{Sn}与集合W之间的关系;
(2)设数列{bn}的通项为bn=5n-2n,且{bn}∈W,M的最小值为m,求m的值;
(3)在(2)的条件下,设Cn=
1
5
[bn+(m-5)n]+
2
,求证:数列{Cn}中任意不同的三项都不能成为等比数列.

查看答案和解析>>

同步练习册答案