精英家教网 > 高中数学 > 题目详情

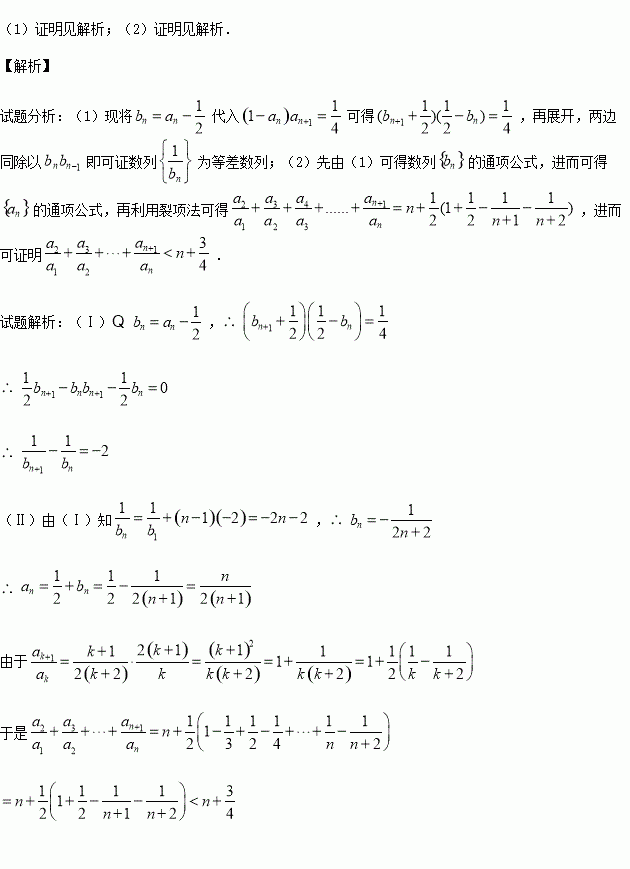
已知数列满足.令

(1)求证:数列为等差数列;

(2)求证:

练习册系列答案
相关习题

科目:高中数学 来源:2015-2016学年云南省高一上期中数学试卷(解析版) 题型:填空题

函数,满足,则的值为________.

查看答案和解析>>

科目:高中数学 来源:2015-2016学年江苏省高一上期中数学试卷(解析版) 题型:填空题

函数的定义域为

查看答案和解析>>

科目:高中数学 来源:2015-2016学年江西省吉安市高二上二段考理科数学卷(解析版) 题型:解答题

已知数列的前n项和

(Ⅰ)求数列的通项公式;

(Ⅱ)令,试比较的大小,并予以证明.

查看答案和解析>>

科目:高中数学 来源:2015-2016学年福建省高二上期中理科数学试卷(解析版) 题型:解答题

已知等比数列满足2a1+a3=3a2,且a3+2是a2,a4的等差中项.

(Ⅰ)求数列的通项公式;

(Ⅱ)若,Sn=b1+b2+…+bn,求使Sn-2n+1+47<0成立的正整数n的最小值.

查看答案和解析>>

科目:高中数学 来源:2015-2016学年广西省高一上段考数学试卷(解析版) 题型:解答题

已知集合

(1)当m=3时,求集合

(2)若,求实数m的取值范围.

查看答案和解析>>

科目:高中数学 来源:2015-2016学年青海省西宁市高一上期中数学试卷(解析版) 题型:填空题

已知幂函数y=f(x)的图象过点(2,),则f(9)=

查看答案和解析>>

科目:高中数学 来源:2015-2016学年山西省高二11月月考理科数学卷(解析版) 题型:选择题

已知命题,则“”是“”的必要不充分条件;命题:若,则夹角为钝角,在命题①;②;③;④中,真命题是( )

A.①③ B.①④ C.②③ D.②④

查看答案和解析>>

科目:高中数学 来源:2016届河北省邯郸市高三一轮考试二文科数学试卷(解析版) 题型:选择题

已知x,y的取值如下表示:若y与x线性相关,且,则a=( )

x

0

1

3

4

y

2.2

4.3

4.8

6.7

A.2.2 B.2.6 C.2.8 D.2.9

查看答案和解析>>

同步练习册答案