精英家教网 > 高中数学 > 题目详情

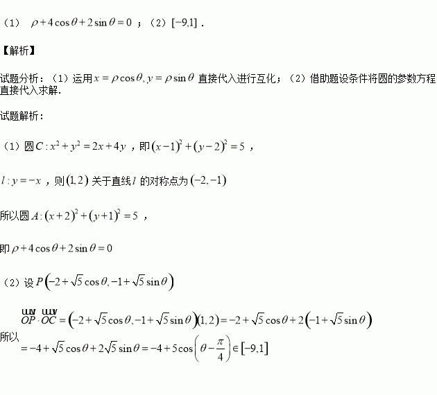
在极坐标系中,圆与圆关于直线对称.

(1)求圆的极坐标方程;

(2)为圆上任意一点,求(其中为极点)的取值范围.

练习册系列答案
相关习题

科目:高中数学 来源:2016届宁夏高三下四模文科数学试卷(解析版) 题型:解答题

已知函数为常数)的图象在处的切线方程为.

(Ⅰ)判断函数的单调性;

(Ⅱ)已知,且,若对任意,任意中恰有一个恒成立,求实数的取值范围.

查看答案和解析>>

科目:高中数学 来源:2016届宁夏高三下四模理科数学试卷(解析版) 题型:选择题

若向量a,b的夹角为,且, 则向量a与向量a+2b的夹角为( )

A. B. C. D.

查看答案和解析>>

科目:高中数学 来源:2016届湖北荆门龙泉中学高三5月月考文科数学试卷(解析版) 题型:选择题

在矩形中,,点为矩形内一点,则使得的概率为( )

A. B. C. D.

查看答案和解析>>

科目:高中数学 来源:2016届湖北荆门龙泉中学高三5月月考文科数学试卷(解析版) 题型:选择题

已知为虚数单位,则复数( )

A. B. C. D.

查看答案和解析>>

科目:高中数学 来源:2015-2016学年江苏淮阴中学高二下期末理数学卷(解析版) 题型:填空题

已知函数的解集为,若,则实数的取值范围为__________________.

查看答案和解析>>

科目:高中数学 来源:2015-2016学年江苏淮阴中学高二下期末理数学卷(解析版) 题型:填空题

函数的定义域为,函数的定义域为,则_____________.

查看答案和解析>>

科目:高中数学 来源:2016届宁夏高三四模理科数学试卷(解析版) 题型:选择题

已知数列满足,,且,记为数列的前项和,数列是首项和公比都是2的等比数列,则使不等式成立的最小整数n为( )

A.7 B.6 C.5 D.4

查看答案和解析>>

科目:高中数学 来源:2015-2016学年福建福州八中高一下期中数学卷(解析版) 题型:解答题

《聪明花开》栏目共有五个项目,分别为“和一斗”、“斗麻利”、“文士生”、“讲头知尾”、“正功夫”.《聪明花开》栏目组为了解观众对项目的看法,设计了“你最喜欢的项目是哪一个 ”的调查问卷(每人只能选一个项目),对现场观众进行随机抽样调查,得到如下数据(单位:人):

(I)在所有参与该问卷调查的人中,用分层抽样的方法抽取n人座谈,其中恰有4人最喜欢“斗麻利”,求n的值及所抽取的人中最喜欢“合一斗”的人数;

(II)在(I)中抽取的最喜欢“合一斗”和“斗麻利”的人中,任选2人参加栏目组互动,求恰有1人最喜欢“合一斗”的概率.

查看答案和解析>>

同步练习册答案