精英家教网 > 高中数学 > 题目详情
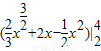
由直线y=x-2,曲线以及x轴所围成的图形的面积为   
【答案】分析:先求出两曲线的交点坐标,再由面积与积分的关系将面积用积分表示出来,由公式求出积分,即可得到面积值
解答:解:联立方程 得到两曲线的交点(4,2),
故由直线y=x-2,曲线以及x轴所围成的图形的面积为:
2dx+∫24-x+2)dx=+=
故答案为:
点评:本题考查定积分在求面积中的应用,解答本题关键是根据题设中的条件建立起面积的积分表达式,再根据相关的公式求出积分的值,用定积分求面积是其重要运用,掌握住一些常用函数的导数的求法是解题的知识保证
练习册系列答案
相关习题

科目:高中数学 来源: 题型:

由曲线y=
1x
和直线y=x-4,x=1,x=2围成的曲边梯形的面积是
ln2+1
ln2+1

查看答案和解析>>

科目:高中数学 来源: 题型:填空题

由曲线数学公式和直线y=x-4,x=1,x=2围成的曲边梯形的面积是________.

查看答案和解析>>

科目:高中数学 来源:不详 题型:填空题

由曲线y=
1
x
和直线y=x-4,x=1,x=2围成的曲边梯形的面积是______.

查看答案和解析>>

科目:高中数学 来源:模拟题 题型:解答题

已知二次函数y=x2,现取x轴上的点,分别为A1(1,0),A2(2,0),A3(3,0),…,An(n,0),…,过这些点分别作x轴垂线,与抛物线分别交于A′1,A′2,A′3,…,A′n…,记由线段A′nAn,AnAn+1,An+1A′n+1及抛物线弧A′n+1A′n所围成的曲边梯形的面积为an
(Ⅰ)求数列{an}的通项公式;
(Ⅱ)作直线y=与A′nAn(n =1,2,3,…)交于Bn,记新的曲边梯形A′nBnBn+1A′n+1,面积为bn,求的前n项和Sn
(Ⅲ)在(Ⅱ)的前提下,作直线y=x,与A′nAn(n=1,2,3,…)交于Cn,记Rt△Cn+1An+1An面积与曲边梯形A′nBnBn+1A′n+1面积之比为Pn,求证:P1+

查看答案和解析>>

科目:高中数学 来源:2007-2008学年江苏省无锡一中高二(上)期中数学试卷(成志班)(解析版) 题型:填空题

由曲线和直线y=x-4,x=1,x=2围成的曲边梯形的面积是   

查看答案和解析>>

同步练习册答案