精英家教网 > 高中数学 > 题目详情

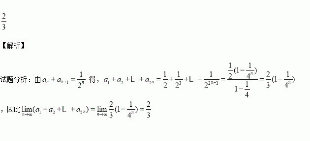
数列中,若),则 .

练习册系列答案
相关习题

科目:高中数学 来源:2016届河南省郑州市高三上学期联考文科数学试卷(解析版) 题型:解答题

设函数

(1)若曲线在点处的切线与直线x-2=0垂直,求的单调递减区间和极小值(其中e为自然对数的底数);

(2)若对任意恒成立,求k的取值范围.

查看答案和解析>>

科目:高中数学 来源:2015-2016学年广西钦州港经济技术开发区中学高一上期中数学试卷(解析版) 题型:填空题

已知定义在R上的奇函数f(x),当x>0时,f(x)=x2+|x|﹣1,那么x<0时,f(x)=

查看答案和解析>>

科目:高中数学 来源:2015-2016年湖北武汉华中师大一附高二上期中文科数学卷(解析版) 题型:选择题

已知F2,F1是双曲线的上,下两个焦点,点F2关于渐近线的对称点恰好落在以F1为圆心,| OF1 |为半径的圆上,则双曲线的离心率为( )

A.2 B. C.3 D.

查看答案和解析>>

科目:高中数学 来源:2016上海复旦大学附中届高三上期中文科数学试卷(解析版) 题型:填空题

直线与直线,若的方向向量是的法向量,则实数

查看答案和解析>>

科目:高中数学 来源:2016届河北省高三上学期四调文科数学试卷(解析版) 题型:填空题

已知函数,则

查看答案和解析>>

科目:高中数学 来源:2016届河北省高三上学期四调理科数学试卷(解析版) 题型:选择题

已知不等式对任意实数都成立,则常数的最小值为( )

A. B. C. D.

查看答案和解析>>

科目:高中数学 来源:2015-2016学年湖北武汉华中师大一附高一上期中数学试卷(解析版) 题型:选择题

函数的定义域为( )

A. B.

C. D.

查看答案和解析>>

科目:高中数学 来源:2016届湖北武汉华中师大一附等高三上第一次联考理数学卷(解析版) 题型:解答题

已知函数

(1)若直线的反函数的图象相切,求实数的值;

(2)设,且,试比较三者的大小,并说明理由.

查看答案和解析>>

同步练习册答案