精英家教网 > 高中数学 > 题目详情
设角A,B,C是△ABC的三个内角,已知向量,且
(Ⅰ)求角C的大小;
(Ⅱ)若向量,试求的取值范围.
【答案】分析:(Ⅰ)根据推断出=0,利用向量的基本运算求得sin2C=sin2A+sin2B-sinAsinB,利用正弦定理把角的正弦转化成边,代入余弦定理求得cosC的值,进而求得C.
(Ⅱ)根据的坐标可求得的表达式,然后利用二倍角公式化简整理,利用A的范围和正弦函数的单调性求得的范围,进而求得的取值范围.
解答:解:(Ⅰ)由题意得
即sin2C=sin2A+sin2B-sinAsinB
由正弦定理得c2=a2+b2-ab
再由余弦定理得
∵0<C<π,∴
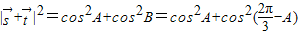
(Ⅱ)∵

=
=
,∴

所以,故
点评:本题主要考查了正弦定理和余弦定理的应用,向量的基本运算,三角函数的基本公式.综合考查了学生对基础知识整体把握.
练习册系列答案
相关习题

科目:高中数学 来源: 题型:

设角A,B,C是△ABC的三个内角,已知向量
m
=(sinA+sinC,sinB-sinA)
n
=(sinA-sinC,sinB)
,且
m
n

(Ⅰ)求角C的大小;
(Ⅱ)若向量
s
=(0,-1),
t
=(cosA,2cos2
B
2
)
,试求|
s
+
t
|
的取值范围.

查看答案和解析>>

科目:高中数学 来源:孝感模拟 题型:解答题

设角A,B,C是△ABC的三个内角,已知向量
m
=(sinA+sinC,sinB-sinA)
n
=(sinA-sinC,sinB)
,且
m
n

(Ⅰ)求角C的大小;
(Ⅱ)若向量
s
=(0,-1),
t
=(cosA,2cos2
B
2
)
,试求|
s
+
t
|
的取值范围.

查看答案和解析>>

科目:高中数学 来源:四川省同步题 题型:解答题

设角A,B,C是△ABC的三个内角,已知向量,且
(Ⅰ)求角C的大小;
(Ⅱ)若向量,试求的取值范围.

查看答案和解析>>

科目:高中数学 来源:2011-2012学年湖北省孝感市高三第二次统考数学试卷(理科)(解析版) 题型:解答题

设角A,B,C是△ABC的三个内角,已知向量,且
(Ⅰ)求角C的大小;
(Ⅱ)若向量,试求的取值范围.

查看答案和解析>>

科目:高中数学 来源:2010-2011学年浙江省宁波市十校高三(下)3月联考数学试卷(文科)(解析版) 题型:解答题

设角A,B,C是△ABC的三个内角,已知向量,且
(Ⅰ)求角C的大小;
(Ⅱ)若向量,试求的取值范围.

查看答案和解析>>

同步练习册答案