精英家教网 > 高中数学 > 题目详情

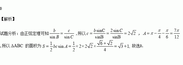
的内角的对边分别为,若,则的面积为( )

A. B. C. D.

练习册系列答案
相关习题

科目:高中数学 来源:2015-2016学年江西省高二下期中文科数学试卷(解析版) 题型:选择题

若x,y 满足,则u=2x+y的最大值为( )

A.3 B. C.2 D.

查看答案和解析>>

科目:高中数学 来源:2016届湖南省长沙市高考模拟一理科数学试卷(解析版) 题型:选择题

设函数是方程的根,且,当时,关于函数在区间内的零点个数的说法中,正确的是( )

A.至少有一个零点 B.至多有一个零点

C.可能存在2个零点 D.可能存在3个零点

查看答案和解析>>

科目:高中数学 来源:2016届云南省高考复习质量监测六文科数学试卷(解析版) 题型:解答题

去年“十一”期间,昆曲高速公路车辆较多.某调查公司在曲靖收费站从座以下小型汽车中按进收费站的先后顺序,每间隔辆就抽取一辆的抽样方法抽取辆汽车进行抽样调查,将他们在某段高速公路的车速()分成六段:后,得到如图的频率分布直方图.

(I)调查公司在抽样时用到的是哪种抽样方法?

(II)求这辆小型汽车车速的众数和中位数的估计值;

(III)若从这辆车速在的小型汽车中任意抽取辆,求抽出的辆车车速都在的概率.

查看答案和解析>>

科目:高中数学 来源:2016届云南省高考复习质量监测六文科数学试卷(解析版) 题型:选择题

如图给出一个“三角形数阵”,已知每一列的数成等差数列,从第三行起,每一行的数成等比数列,每一行的公比都相等,记第行第列的数为),则( )

A. B. C. D.

查看答案和解析>>

科目:高中数学 来源:2016届云南省高考复习质量监测六文科数学试卷(解析版) 题型:选择题

已知集合,则集合的真子集的个数是( )

A. B. C. D.

查看答案和解析>>

科目:高中数学 来源:2016届海南省高考模拟十理科数学试卷(解析版) 题型:解答题

如图,已知正三棱柱的底面边长为2,侧棱长为,点在侧棱上,点在侧棱上,且.

(1)求证:

(2)求二面角的大小.

查看答案和解析>>

科目:高中数学 来源:2016届海南省高考模拟十理科数学试卷(解析版) 题型:选择题

如果复数(其中为虚数单位,为实数)的实部和虚部互为相反数,那么等于( )

A. B. C. D.2

查看答案和解析>>

科目:高中数学 来源:2015-2016学年西藏日喀则一中高二4月月考理科数学试卷(解析版) 题型:选择题

在正方体中,分别为的中点,则异面直线所成角的余弦值为( )

A. B. C. D.

查看答案和解析>>

同步练习册答案