精英家教网 > 高中数学 > 题目详情

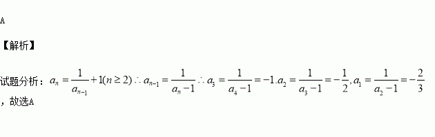
已知数列满足,若,则 ( ).

A. B. C. D.

练习册系列答案
相关习题

科目:高中数学 来源:2015-2016学年广东省普宁市高一上学期期中考试数学试卷(解析版) 题型:选择题

如图所示,一个空间几何体的正视图、侧视图、俯视图为全等的等腰直角三角形,如果直角三角形的直角边长为1,那么这个几何体的体积为( )

A.1 B. C. D.

查看答案和解析>>

科目:高中数学 来源:2015-2016学年四川成都市六校高二上学期期中联考理科数学试卷(解析版) 题型:解答题

(本小题满分12分)如图所示,正方形和矩形所在平面相互垂直,的中点.

(1)求证:

(2)若直线与平面成45o角,求异面直线所成角的余弦值.

查看答案和解析>>

科目:高中数学 来源:2015-2016学年河北省高一上学期第一次月考数学试卷(解析版) 题型:填空题

函数的定义域是

查看答案和解析>>

科目:高中数学 来源:2015-2016学年广东省普宁市高一上学期期中考试数学试卷(解析版) 题型:选择题

若偶函数上是增函数,则下列关系式中成立的是( )

A.

B.

C.

D.

查看答案和解析>>

科目:高中数学 来源:2015-2016学年福建厦门双十中学高二上期中理科数学试卷(解析版) 题型:选择题

已知是椭圆的左右焦点,P是椭圆上任意一点,过的外角平分线的垂线,垂足为Q,则点Q的轨迹为( )

A.直线 B.圆 C.椭圆 D.四条线段

查看答案和解析>>

科目:高中数学 来源:2014-2015年河北保定一中高二下第一次段考理数学试卷(解析版) 题型:填空题

在四面体O—ABC中,,D为BC的中点,E为AD的中点,则 (用表示).

查看答案和解析>>

科目:高中数学 来源:2014-2015学年河北省高二上第二次段考理科数学试卷(解析版) 题型:选择题

直线的倾斜角为 ( )

A. B.150° C.45° D.135°

查看答案和解析>>

科目:高中数学 来源:2016届浙江省高三期中文科数学试卷(解析版) 题型:填空题

如图是某几何体的三视图(单位:cm),则该几何体的表面积是__ ___cm2,体积为_ __ cm3.

查看答案和解析>>

同步练习册答案