精英家教网 > 高中数学 > 题目详情

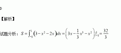
如图,阴影部分的面积是( )

A.2 B.-2

C. D.

练习册系列答案
相关习题

科目:高中数学 来源:2015-2016学年四川成都七中高二10月段考文科数学试卷(解析版) 题型:选择题

己知函数内恒为正值,则的取值范围是( )

A. B. C. D.

查看答案和解析>>

科目:高中数学 来源:2014-2015学年浙江省嵊州市高二下期末检测文科数学A卷(解析版) 题型:选择题

如图,四边形是三个全等的菱形,为各菱形边上的动点,设,则的最大值为

A. B. C. D.

查看答案和解析>>

科目:高中数学 来源:2014-2015学年四川省宜宾市高一下学期期末测试数学试卷(解析版) 题型:选择题

,,则下列各不等式中恒成立的是

(A) (B)

(C) (D)

查看答案和解析>>

科目:高中数学 来源:2014-2015学年山西省高二下学期期中文科数学试卷(解析版) 题型:选择题

函数的图象大致是( )

查看答案和解析>>

科目:高中数学 来源:2014-2015学年山西省高二上学期第一次月考数学试卷(解析版) 题型:填空题

若圆锥的母线长为,底面圆的周长为,则圆锥的表面积为________.

查看答案和解析>>

科目:高中数学 来源:2014-2015学年江西省上饶市等四校高一6月考理科数学试卷(解析版) 题型:选择题

设数列的前项和为,则的值为( )

A、 B、 C、 D、

查看答案和解析>>

科目:高中数学 来源:2014-2015学年贵州省高二上学期期中文科数学试卷(解析版) 题型:选择题

已知双曲线的离心率为,椭圆的离心率为( ) 。

A. B. C. D.

查看答案和解析>>

科目:高中数学 来源:2015-2016学年江西新余一中高一上第一次段考数学试卷(解析版) 题型:解答题

(本小题满分12分)已知函数 f(x)=4x2-4ax+(a2-2a+2).

(1)若a=1, 求f(x)在闭区间[0,2]上的值域;

(2)若f(x)在闭区间[0,2]上有最小值3,求实数a的值.

查看答案和解析>>

同步练习册答案