精英家教网 > 高中数学 > 题目详情

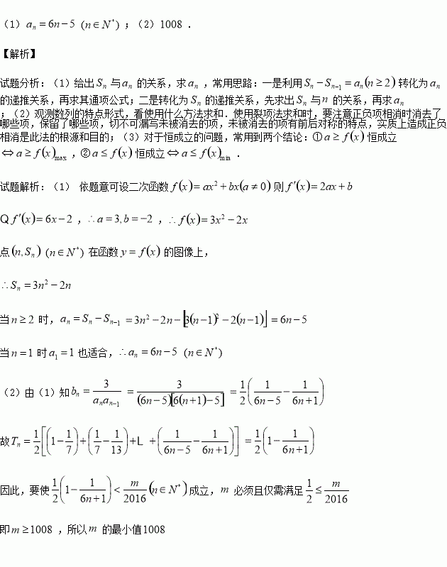
(本小题满分12分)已知二次函数的图象经过坐标原点,其导函数为.数列的前项和为,点均在函数的图象上.

(1)求数列的通项公式;

(2)设是数列的前项和,求使得对所有都成立的最小正整数

练习册系列答案
相关习题

科目:高中数学 来源:2016届湖北省、宜昌一中高三10月联考理科数学试卷(解析版) 题型:解答题

(本小题满分10分)选修4-5:不等式选讲

已知函数

(Ⅰ)解不等式

(Ⅱ)若,且,求证:

查看答案和解析>>

科目:高中数学 来源:2016届浙江宁波效实中学高三上期中考试理科数学试卷(解析版) 题型:选择题

一个几何体的三视图如图所示,则该几何体的体积是( )

A.64 B.72 C.80 D.112

查看答案和解析>>

科目:高中数学 来源:2016届山东省高三第二次诊断性考试理科数学试卷(解析版) 题型:选择题

已知命题中,“”是“”的充分不必要条件;命题”是“”的充分不必要条件,则下列选项中正确的是

A.假 B.

C.“”为假 D.“”为真

查看答案和解析>>

科目:高中数学 来源:2016届河南省原名校高三上学期第一次联考文科数学试卷(解析版) 题型:选择题

已知函数在其定义域内的一个子区间内不是单调函数,则实数的取值范围是( )

A. B.

C. D.

查看答案和解析>>

科目:高中数学 来源:2015-2016学年四川绵阳南山中学高二上期中文科数学试卷(解析版) 题型:选择题

双曲线的两焦点为在双曲线上,且满足, 则的面积为

A.1 B. C.2 D.4

查看答案和解析>>

科目:高中数学 来源:2015-2016学年四川绵阳南山中学高二上期中理科数学试卷(解析版) 题型:填空题

已知直线与圆心为的圆相交于两点,且为等边三角形,则实数 .

查看答案和解析>>

科目:高中数学 来源:2015-2016学年湖北省高二上期中文科数学试卷(解析版) 题型:选择题

已知函数其中为常数,那么“”是“为奇函数”的( )

A.充分不必要条件 B.必要不充分条件

C.充要条件 D.既不充分也不必要条件

查看答案和解析>>

科目:高中数学 来源:2015-2016学年甘肃省定西市高一上学期第一次月考数学试卷(解析版) 题型:选择题

下列四组函数中,表示同一函数的是( )

A.

B.

C.

D.

查看答案和解析>>

同步练习册答案