精英家教网 > 高中数学 > 题目详情

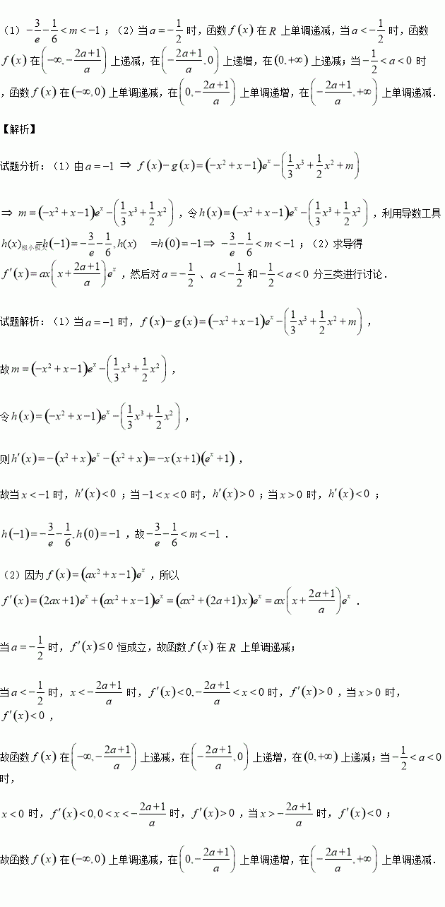
设函数

(1)当时,函数的图象有三个不同的交点,求实数的范围;

(2)讨论的单调性.

练习册系列答案
相关习题

科目:高中数学 来源: 题型:解答题

15.设△ABC的内角A,B,C的对边分别为a,b,c,且S△ABC=bccosA.
(1)求tan2A的值;
(2)若b2=a2+c2-$\sqrt{2}$ac,b=$\sqrt{5}$,求c.

查看答案和解析>>

科目:高中数学 来源: 题型:解答题

16.若直线经过A(3,t),B(-1,2),若直线的倾斜角为135°,求t的值.

查看答案和解析>>

科目:高中数学 来源: 题型:解答题

12.(1)解关于x的不等式:$\frac{x+2}{k}>1+\frac{x-3}{{k}^{2}}$(k≠0);
(2)如果上述不等式的解集为(3,+∞),求k的值.
(3)如果x=3在解集中,求实数k的取值范围.

查看答案和解析>>

科目:高中数学 来源: 题型:解答题

19.已知函数f(x)=y=$\left\{\begin{array}{l}{{x}^{2}-2x,x∈[-2,-1)}\\{-{x}^{2}+2x,x∈[-1,3)}\end{array}\right.$,求f(x)的值域.

查看答案和解析>>

科目:高中数学 来源: 题型:选择题

7.有下列说法:①-2是16的四次方根;②正数的n次方根有两个;③a的n次方根就是$\root{n}{a}$;④$\root{n}{{a}^{n}}$=a(a≥0),其中正确的个数是(  )
A.0B.1C.2D.3

查看答案和解析>>

科目:高中数学 来源: 题型:选择题

14.函数f(x)=$\left\{\begin{array}{l}{{x}^{2}+1(x≥0)}\\{{-x}^{2}(x<0)}\end{array}\right.$ 的单调性为(  )
A.在(0,+∞)上是减函数
B.在(-∞,0)上是增函数,在(0,+∞)上是减函数
C.不能判断单调性
D.在(-∞,+∞)上是增函数

查看答案和解析>>

科目:高中数学 来源: 题型:填空题

11.不等式|$\frac{2x}{1-x}$|≥$\frac{2x}{1-x}$的解集为{x|x≤0 或x>1}.

查看答案和解析>>

科目:高中数学 来源:2017届广东华南师大附中高三综合测试一数学(文)试卷(解析版) 题型:选择题

函数的图象大致为( )

A. B. C. D.

查看答案和解析>>

同步练习册答案