精英家教网 > 高中数学 > 题目详情

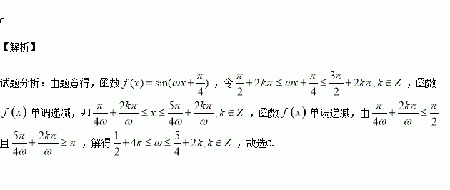
已知,函数在区间上单调递减,则实数的取值范围是( )

A. B. C. D.

练习册系列答案
相关习题

科目:高中数学 来源:2017届江西南昌市高三上学期摸底调研数学(文)试卷(解析版) 题型:选择题

设等比数列的公比为,其前项和为,前项之积为,并且满足条件:,下列结论中正确的是( )

A.

B.

C.是数列中的最大值

D.

查看答案和解析>>

科目:高中数学 来源:2017届广西陆川县中学高三8月月考数学(文)试卷(解析版) 题型:填空题

中,角所对的边分别为,向量,且,三角函数式的取值范围是 .

查看答案和解析>>

科目:高中数学 来源:2017届广西陆川县中学高三8月月考数学(理)试卷(解析版) 题型:解答题

中,角的对边分别为,已知.

(1)证明:

(2)求的最小值.

查看答案和解析>>

科目:高中数学 来源:2017届广西陆川县中学高三8月月考数学(理)试卷(解析版) 题型:选择题

设函数的导函数为,且,则下列不等式

成立的是( )

A. B.

C. D.

查看答案和解析>>

科目:高中数学 来源:2017届广西陆川县中学高三8月月考数学(理)试卷(解析版) 题型:选择题

已知,则( )

A.2 B.4 C. D.8

查看答案和解析>>

科目:高中数学 来源:2017届广东海珠区高三上学期调研测试一数学理试卷(解析版) 题型:解答题

社区服务是综合实践活动课程的重要内容,某市教育部门在全市高中学生中随机抽取200位学生参加社区服务的数据,按时间段(单位:小时)进行统计,其频率分布直方图如图所示.

(1)求抽取的200位学生中,参加社区服务时间不少于90小时的学生人数,并估计从全市高中学生中任意选取一人,其参加社区服务时间不少于90小时的概率;

(2)从全市高中学生(人数很多)中任意选取3位学生,记为3位学生中参加社区服务时间不少于90小时的人数,试求随机变量的分布列和数学期望.

查看答案和解析>>

科目:高中数学 来源:2017届广东海珠区高三上学期调研测试一数学理试卷(解析版) 题型:选择题

若复数满足,则的虚部为( )

A.-1 B. C. D.1

查看答案和解析>>

科目:高中数学 来源:2017届广东海珠区高三上学期调研测试一数学文试卷(解析版) 题型:选择题

设点是双曲线上的一点,分别为双曲线的左、右焦点,已知,且,则双曲线的离心率为( )

A. B. C.2 D.

查看答案和解析>>

同步练习册答案