精英家教网 > 高中数学 > 题目详情

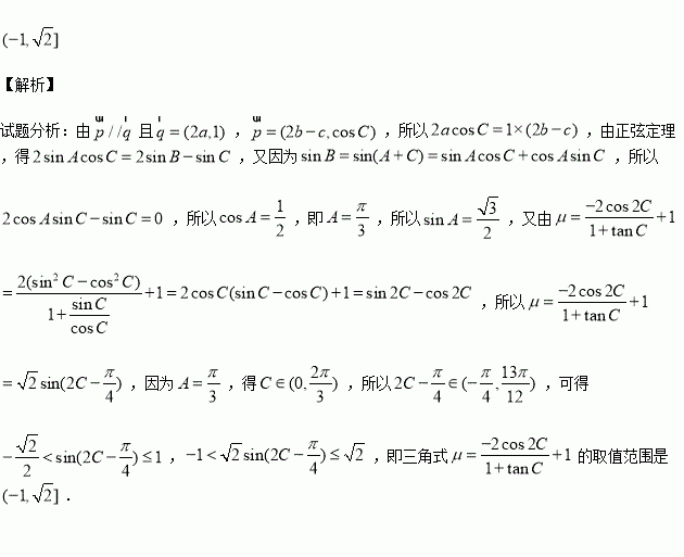
中,角所对的边分别为,向量,且,三角函数式的取值范围是 .

练习册系列答案
相关习题

科目:高中数学 来源:2017届湖北武汉市高三上学期起点考试数学(文)试卷(解析版) 题型:填空题

已知函数图象的一条对称轴为,记函数的两个极值点分别为,则的最小值为

查看答案和解析>>

科目:高中数学 来源:2017届江西南昌市高三上学期摸底调研数学(理)试卷(解析版) 题型:解答题

将圆每一点的横坐标保持不变,纵坐标变为原来的倍,得到曲线.

(1)写出的参数方程;

(2)设直线的交点为,以坐标原点为极点,轴的正半轴为极轴建立极坐标系,求:过线段的中点且与垂直的直线的极坐标方程.

查看答案和解析>>

科目:高中数学 来源:2017届江西南昌市高三上学期摸底调研数学(理)试卷(解析版) 题型:选择题

命题“”的否定是( )

A. B.

C. D.

查看答案和解析>>

科目:高中数学 来源:2017届广西陆川县中学高三8月月考数学(文)试卷(解析版) 题型:解答题

已知函数的极值点为1和2.

(1)求实数的值;

(2)求函数在区间上的最大值.

查看答案和解析>>

科目:高中数学 来源:2017届广西陆川县中学高三8月月考数学(文)试卷(解析版) 题型:选择题

中,角所对的边分别为,若,则角的大小为( )

A. B. C. D.

查看答案和解析>>

科目:高中数学 来源:2017届广西陆川县中学高三8月月考数学(文)试卷(解析版) 题型:选择题

已知向量,且,则实数( )

A. B.0 C.3 D.

查看答案和解析>>

科目:高中数学 来源:2017届广西陆川县中学高三8月月考数学(理)试卷(解析版) 题型:选择题

已知,函数在区间上单调递减,则实数的取值范围是( )

A. B. C. D.

查看答案和解析>>

科目:高中数学 来源:2017届河南濮阳第一高级中学高三上学期检测二数学(理)试卷(解析版) 题型:选择题

函数的图象可能是( )

A.(1)(3) B.(1)(2)(4)

C.(2)(3)(4) D.(1)(2)(3)(4)

查看答案和解析>>

同步练习册答案