精英家教网 > 高中数学 > 题目详情

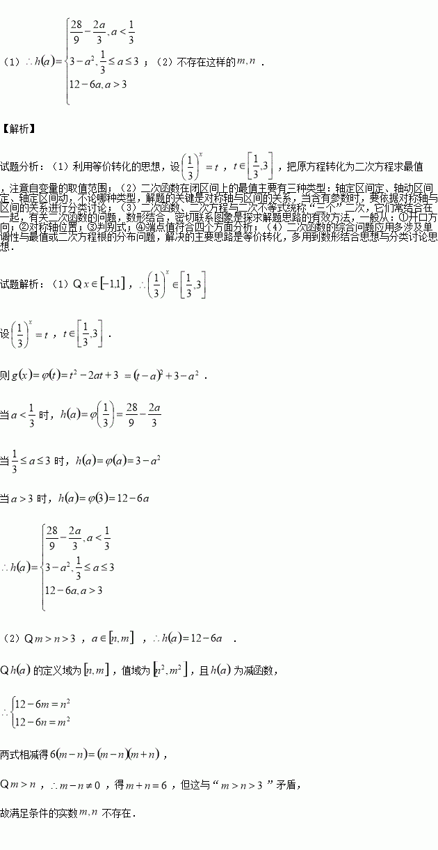
已知函数,函数的最小值为

(1)求

(2)是否存在实数同时满足以下条件:

;②当的定义域为时,值域为

若存在,求出的值;若不存在,说明理由

练习册系列答案
相关习题

科目:高中数学 来源:2015-2016学年湖北孝感高中高二上学期期中文科数学试卷(解析版) 题型:选择题

已知函数的图象上存在关于轴对称的点,则实数的取值范围是

A. B. C. D.

查看答案和解析>>

科目:高中数学 来源:2016届黑龙江牡丹江一中高三10月月考文数学试卷(解析版) 题型:选择题

已知集合,则=( )

A. B. C. D.

查看答案和解析>>

科目:高中数学 来源:2015-2016学年重庆市高一上学期期中数学试卷(解析版) 题型:选择题

已知幂函数在实数集上单调,那么实数=( )

A、一切实数 B、3或-1 C、-1 D、3

查看答案和解析>>

科目:高中数学 来源:2015-2016学年山东省高一上学期期中考试数试卷(解析版) 题型:解答题

求值:

(1)

(2)

查看答案和解析>>

科目:高中数学 来源:2015-2016学年吉林长春十一中高一上学期期中文科数学卷(解析版) 题型:选择题

的值等于 ( )

A. B. C.- D.

查看答案和解析>>

科目:高中数学 来源:2015-2016学年黑龙江哈尔滨师大附中高二上期中文数学卷(解析版) 题型:解答题

如图,四棱锥P—ABCD中,底面ABCD为矩形,PA⊥底面ABCD,PA=AB,点E是PB的中点,点F是EB的中点.

(Ⅰ) 求证:平面

(Ⅱ) 求证:平面

查看答案和解析>>

科目:高中数学 来源:2015-2016学年河北石家庄二中高一上学期期中数学试卷(解析版) 题型:填空题

设函数,对于任意的,有下列命题

⑤曲线与曲线有三个公共点.

其中正确的命题序号是

查看答案和解析>>

科目:高中数学 来源:2016届四川省成都市高三11月段测三理科数学试卷(解析版) 题型:解答题

设命题p:|2x-3|<1;命题q:lg2x-(2t+l)lgx+t(t+l)≤0,

(1)若命题q所表示不等式的解集为A={x|l0≤x≤100},求实数t的值;

(2)若p是q的必要不充分条件,求实数t的取值范围.

查看答案和解析>>

同步练习册答案