精英家教网 > 高中数学 > 题目详情
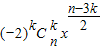
若二项式的展开式的第5项是常数,则自然数n的值为( )
A.6
B.10
C.12
D.15
【答案】分析:利用二项展开式的通项公式求得第k+1项,求出第五项,令x的指数为0求得n.
解答:解:的展开式的通项为=

∵展开式的第5项是常数

∴n=12
故答案为C.
点评:二项展开式的通项公式是解决二项展开式的特定项问题的工具.
练习册系列答案
相关习题

科目:高中数学 来源: 题型:

若二项式的展开式的第5项是常数(不含x),则自然数n的值为_________.

查看答案和解析>>

科目:高中数学 来源:2013届浙江省临海市高二下期中理科数学试卷(解析版) 题型:选择题

若二项式的展开式的第5项是常数项,则自然数的值为 

A、6                  B、10            C、12              D、15

 

查看答案和解析>>

科目:高中数学 来源:2013届广东省高二第二学期期中理科数学试卷(解析版) 题型:选择题

若二项式的展开式的第5项是常数项,则自然数的值为

A、6                                 B、10                            C、12                                D、15

 

查看答案和解析>>

科目:高中数学 来源:山东省10-11学年高二下学期期末考试数学(理) 题型:填空题

若二项式的展开式的第三项是常数项,则=_______.

 

查看答案和解析>>

科目:高中数学 来源:2012届山东省潍坊市三县高二下学期期末联合考试数学(理) 题型:填空题

若二项式的展开式的第三项是常数项,则=_______.   

 

查看答案和解析>>

同步练习册答案